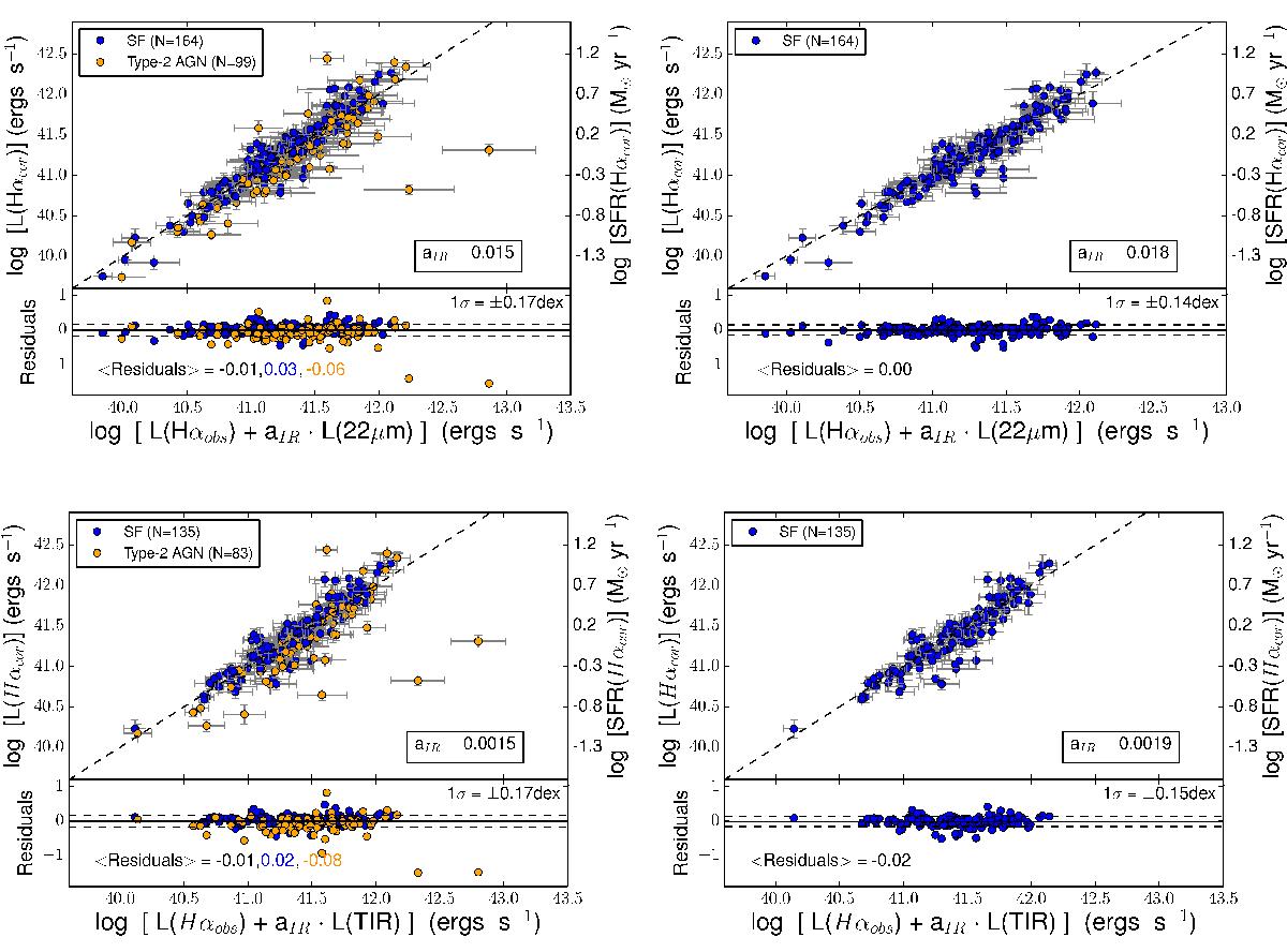
Fig. 15

Updated calibrations for the hybrid tracers, which combine Hα observed luminosity and infrared emission. Those with 22 μm luminosity appear at the top, while the tracers that used TIR luminosity are shown at the bottom. Galaxies hosting type-2 AGN (orange points) are included on the left panels. Blue points refer to star-forming galaxies. Dashed lines correspond to the 1:1 line. The best-fitting aIR coefficients calculated as the median value of the expression 16 are shown for clarity. These aIR values and their corresponding errors appear in Table 3. The residuals are computed as the average value of the log[L(Hαcorr)/(L(Hαobs) + aIR × L(IR))], where L(IR) could be 22 μm or TIR, after applying a 4σ rejection. The hybrid tracers show dispersions lower than in the case of the single-band tracers. These hybrid tracers show the same pattern as the ones in Fig. 14, the aIR coefficient decreases when galaxies hosting type-2 AGN are considered. These calibrations and those in Fig. 14 show that applying an energy balance approximation is a good approach for obtaining reliable SFR tracers for integrated measurements of nearby galaxies. Here, we use IFS data for the first time to achieve this goal.
Current usage metrics show cumulative count of Article Views (full-text article views including HTML views, PDF and ePub downloads, according to the available data) and Abstracts Views on Vision4Press platform.
Data correspond to usage on the plateform after 2015. The current usage metrics is available 48-96 hours after online publication and is updated daily on week days.
Initial download of the metrics may take a while.