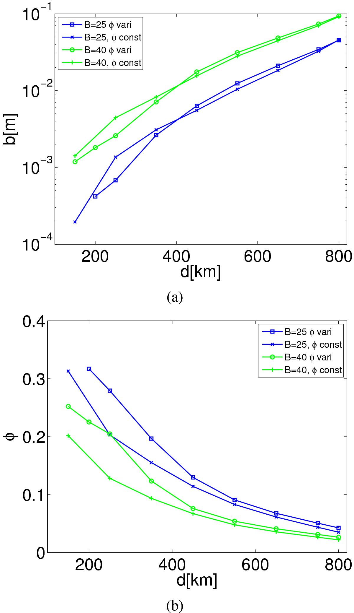
Fig. 7

Grain size ba) and corresponding melt fraction at the top of the melting zone b) for which a tidal dissipation of 1014 W is obtained as a function of asthenosphere thickness, calculated with a constant melt fraction in the asthenosphere (φ const.) according to Eq. (30)and a variable (φ vari) as described in Sect. 2.3. The convective heat transport is neglected.
Current usage metrics show cumulative count of Article Views (full-text article views including HTML views, PDF and ePub downloads, according to the available data) and Abstracts Views on Vision4Press platform.
Data correspond to usage on the plateform after 2015. The current usage metrics is available 48-96 hours after online publication and is updated daily on week days.
Initial download of the metrics may take a while.