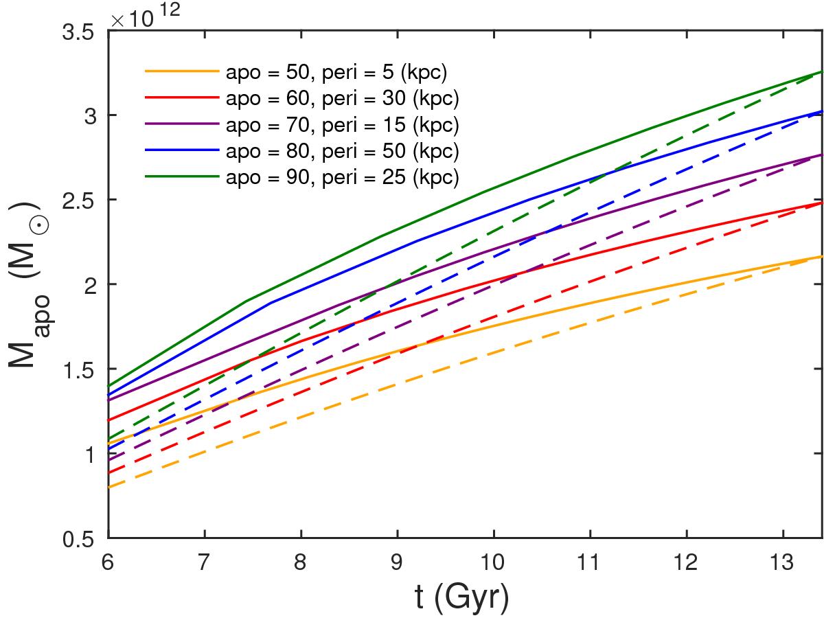
Fig. 1

Increase of the enclosed mass for several orbits for our time-dependent potential with a growth factor of ag = 0.8. The dashed lines show the enclosed mass within the final value of their apocentre. Since the apocentric distances shrink with time, we show the mass enclosed within the time-dependent apocentre values with solid lines. The integration time span for the streams is t ~ 7–8 Gyr, and the enclosed mass approximately doubles over this timescale.
Current usage metrics show cumulative count of Article Views (full-text article views including HTML views, PDF and ePub downloads, according to the available data) and Abstracts Views on Vision4Press platform.
Data correspond to usage on the plateform after 2015. The current usage metrics is available 48-96 hours after online publication and is updated daily on week days.
Initial download of the metrics may take a while.