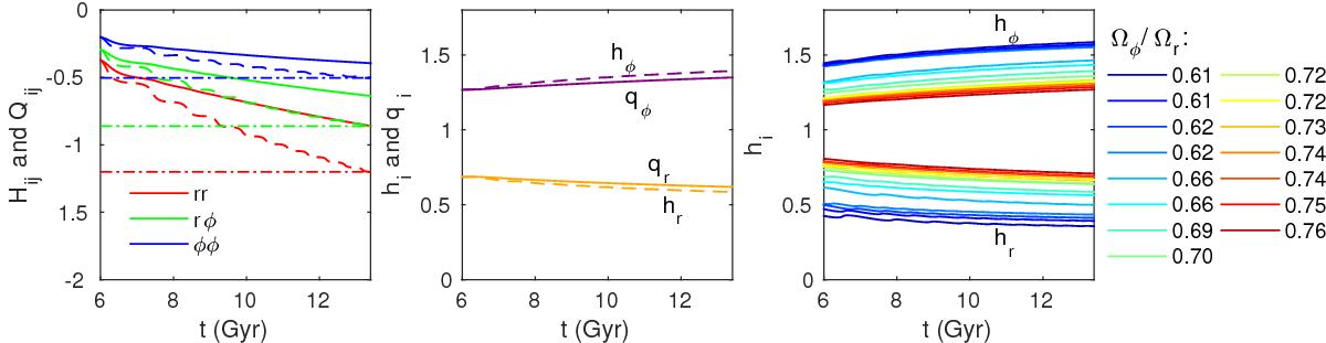
Fig. 13

Hessians Hij, time-averaged Hessians Qij (both in units of 10-3 kpc-2), and their ratios hi and qi for orbit O7. Left panel: the dash-dotted lines show Hij in the static potential, the solid lines the Hij in the time-dependent potential, and the dashed lines Qij in the time-dependent potential. We note that | Hrr | > | Hrφ | > | Hφφ |, and similarly for Qij. The middle panel shows that hφ>qφ at all times and that both increase with time. On the other hand, hr<qr at all t, and both decrease with time. Right panel: the ranking of the hi for the different orbits. Both hφ and hr are ranked by the ratio Ωφ/ Ωr, indicating the dependence on the type of orbit. The qi are ranked in the same way.
Current usage metrics show cumulative count of Article Views (full-text article views including HTML views, PDF and ePub downloads, according to the available data) and Abstracts Views on Vision4Press platform.
Data correspond to usage on the plateform after 2015. The current usage metrics is available 48-96 hours after online publication and is updated daily on week days.
Initial download of the metrics may take a while.