Free Access
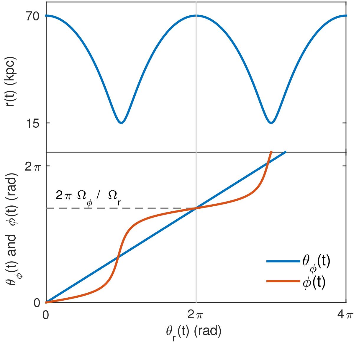
Fig. 2

Relation between the coordinates and the angles in the plane of the orbit. The top panel shows that the radial angle θr increases by 2π in one radial oscillation. In the bottom panel we have plotted φ (red) and θφ (blue) as functions of θr. After one radial period, both angles reach the same value 2πΩφ/ Ωr.
Current usage metrics show cumulative count of Article Views (full-text article views including HTML views, PDF and ePub downloads, according to the available data) and Abstracts Views on Vision4Press platform.
Data correspond to usage on the plateform after 2015. The current usage metrics is available 48-96 hours after online publication and is updated daily on week days.
Initial download of the metrics may take a while.