Fig. 9

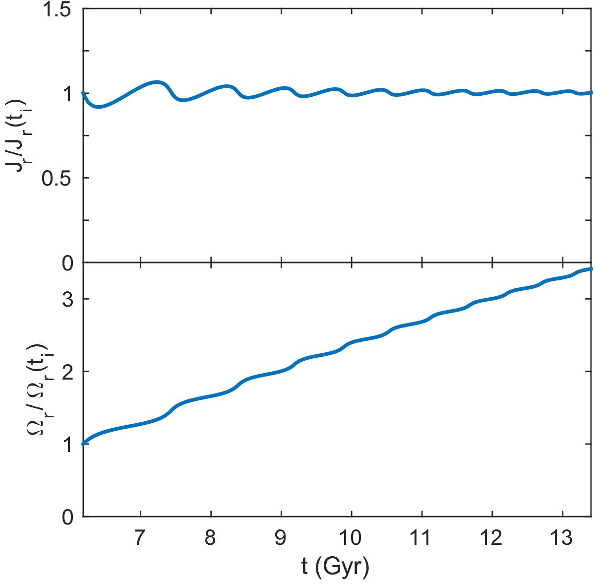
Response of the radial action and the radial frequency to a time-dependent potential for orbit O7 (Table 1). For this orbit, the action shows a non-secular oscillation that decreases in amplitude as the rate of change of the potential decreases. The value of Ωr changes significantly with time, and here there are also oscillations that become smaller as the change rate of the potential decreases. The period of the oscillations corresponds with the radial period. The evolution of Jr has been quite adiabatic because it oscillates around a limiting value, which is the starting value when the particles were released at pericentre.
Current usage metrics show cumulative count of Article Views (full-text article views including HTML views, PDF and ePub downloads, according to the available data) and Abstracts Views on Vision4Press platform.
Data correspond to usage on the plateform after 2015. The current usage metrics is available 48-96 hours after online publication and is updated daily on week days.
Initial download of the metrics may take a while.