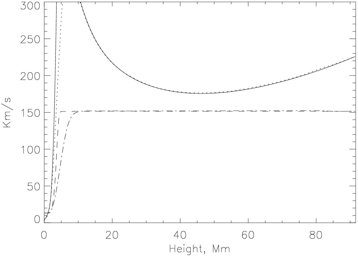
Fig. 9

Characteristic speeds of the Alfvén velocity and the sound speed. The full line shows the Alfvén velocity for the initial setup. The dotted line shows the comparable profile at t = 132.5 min. The same is shown for the sound speed with the dashed line showing the initial profile while the dot-dashed represents the later time.
Current usage metrics show cumulative count of Article Views (full-text article views including HTML views, PDF and ePub downloads, according to the available data) and Abstracts Views on Vision4Press platform.
Data correspond to usage on the plateform after 2015. The current usage metrics is available 48-96 hours after online publication and is updated daily on week days.
Initial download of the metrics may take a while.