Free Access
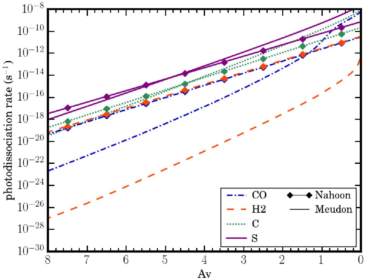
Fig. A.2

Photodissociation rates of CO (blue dashed dotted lines) and H2 (red dashed lines) and photoionization rates of C (green dotted lines) and S (purple solid lines) as a function of the visual extinction in the Meudon code (no symbols) and in Nahoon (diamond lines).
Current usage metrics show cumulative count of Article Views (full-text article views including HTML views, PDF and ePub downloads, according to the available data) and Abstracts Views on Vision4Press platform.
Data correspond to usage on the plateform after 2015. The current usage metrics is available 48-96 hours after online publication and is updated daily on week days.
Initial download of the metrics may take a while.