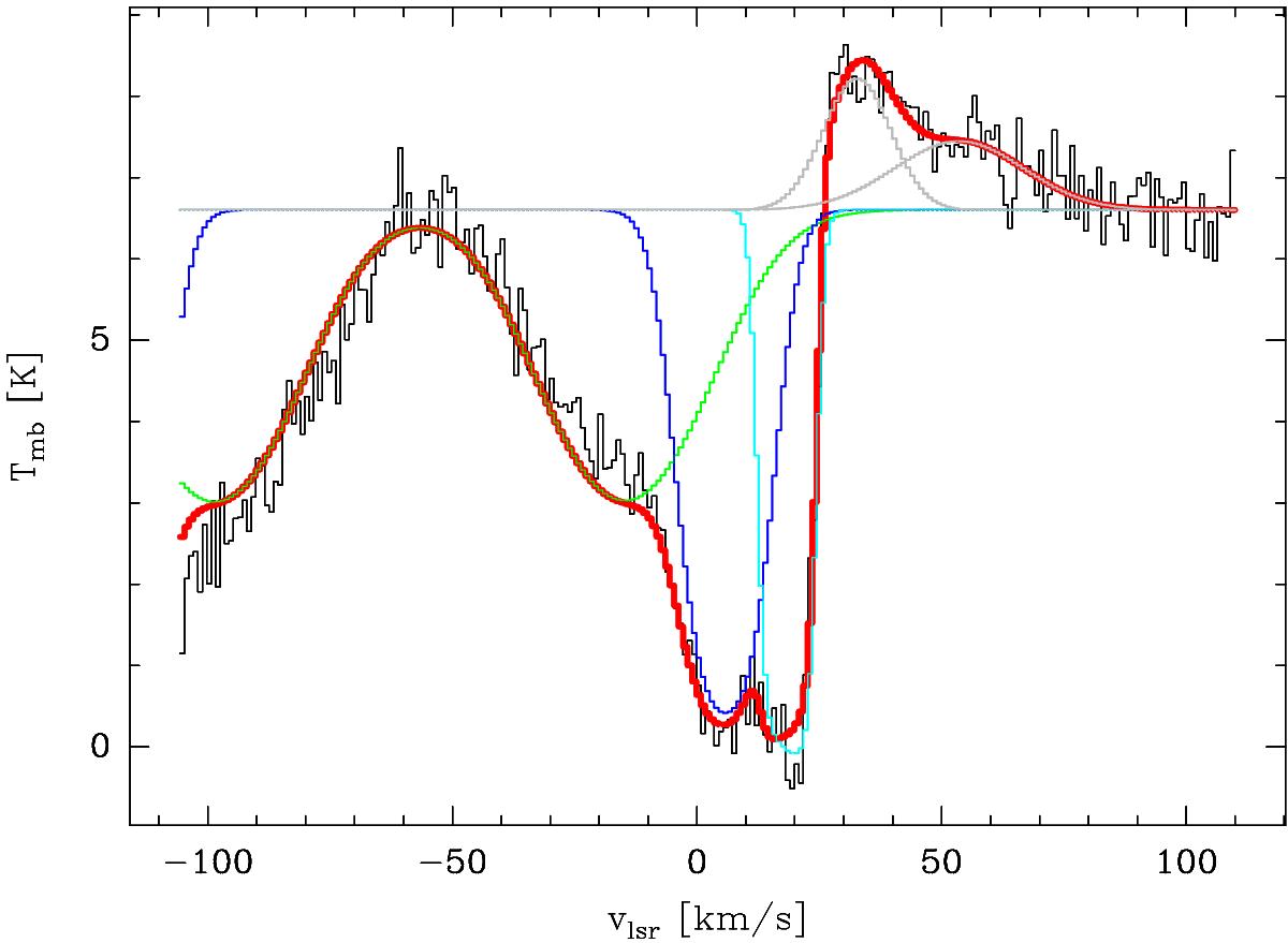
Fig. 9

Spectrum of the OH triplet at 2514 GHz. The absorption feature at ν<−60 km s-1 is the blue-shifted wing of the second
triplet at 2509 GHz observed in the lower sideband of the receiver. The red solid line represents the best fit and it is given by the sum of the spectra of all velocity components used in Sect. 4.2; green, blue, and cyan lines are the synthetic spectra of the absorption features at –13.2 km s-1, +7.3 km s-1, and +20.2 km s-1, respectively; the two grey lines represent the spectra of the emission components at +34.3 km s-1 and 55.1 km s-1.
Current usage metrics show cumulative count of Article Views (full-text article views including HTML views, PDF and ePub downloads, according to the available data) and Abstracts Views on Vision4Press platform.
Data correspond to usage on the plateform after 2015. The current usage metrics is available 48-96 hours after online publication and is updated daily on week days.
Initial download of the metrics may take a while.