Free Access
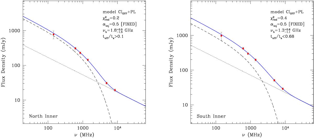
Fig. 4

Radio spectrum of B1834+620, as for Fig. 2, fitted by a combined model of Continuous Injection OFF (dashed line) and power law (dotted line), CIOff+PL.
Current usage metrics show cumulative count of Article Views (full-text article views including HTML views, PDF and ePub downloads, according to the available data) and Abstracts Views on Vision4Press platform.
Data correspond to usage on the plateform after 2015. The current usage metrics is available 48-96 hours after online publication and is updated daily on week days.
Initial download of the metrics may take a while.