Free Access
Fig. 1

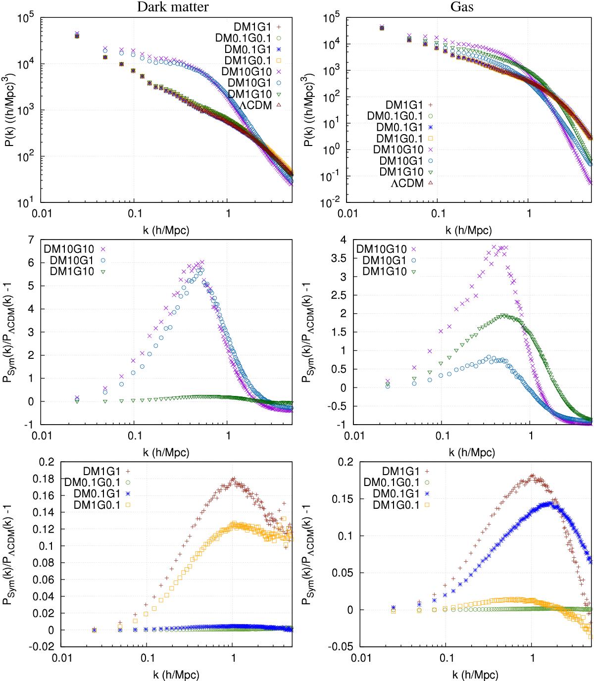
Top: power spectra for all our models. Middle: power spectra deviations of our extreme models from the ΛCDM model. Bottom: power spectra deviations for the remaining models. Left column shows the dark matter component, while the right column shows the gas component. All results are at z = 0.
This figure is made of several images, please see below:
Current usage metrics show cumulative count of Article Views (full-text article views including HTML views, PDF and ePub downloads, according to the available data) and Abstracts Views on Vision4Press platform.
Data correspond to usage on the plateform after 2015. The current usage metrics is available 48-96 hours after online publication and is updated daily on week days.
Initial download of the metrics may take a while.