Fig. 1

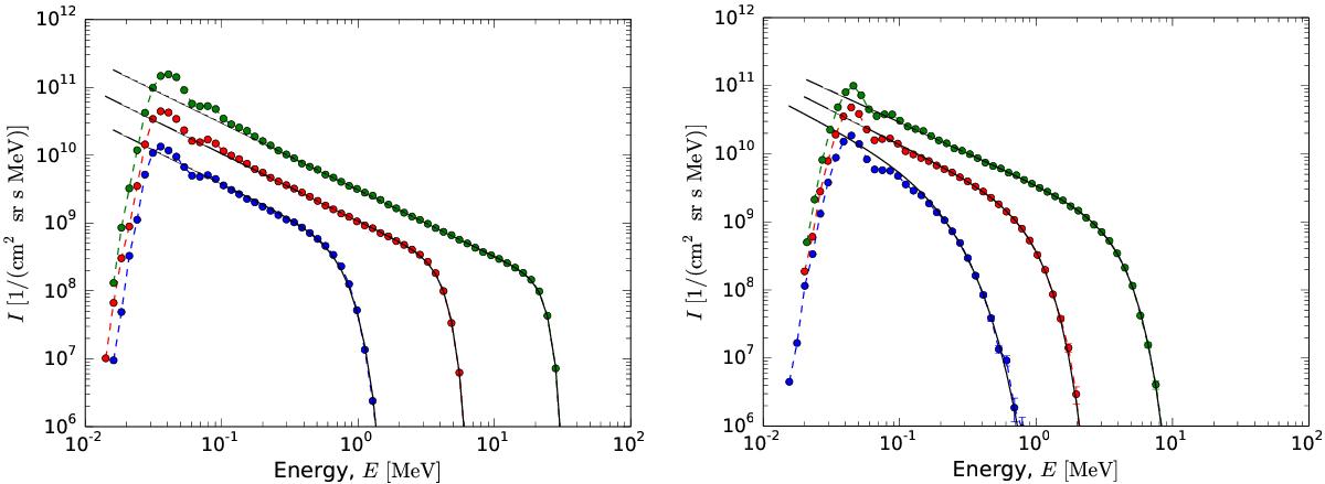
Simulated particle energy spectra obtained with CSA (left panel) and SOLPACS (right panel) at t = 580 s for different values of the injection efficiency: ϵinj = 1.62 × 10-6 (blue circles), ϵinj = 5.40 × 10-6 (red circles), and ϵinj = 1.62 × 10-5 (green circles). Black curves represent fits to the spectral data, obtained with Eq. (15). The fitting was carried out at energies E> 0.2 MeV in all cases.
Current usage metrics show cumulative count of Article Views (full-text article views including HTML views, PDF and ePub downloads, according to the available data) and Abstracts Views on Vision4Press platform.
Data correspond to usage on the plateform after 2015. The current usage metrics is available 48-96 hours after online publication and is updated daily on week days.
Initial download of the metrics may take a while.