Free Access
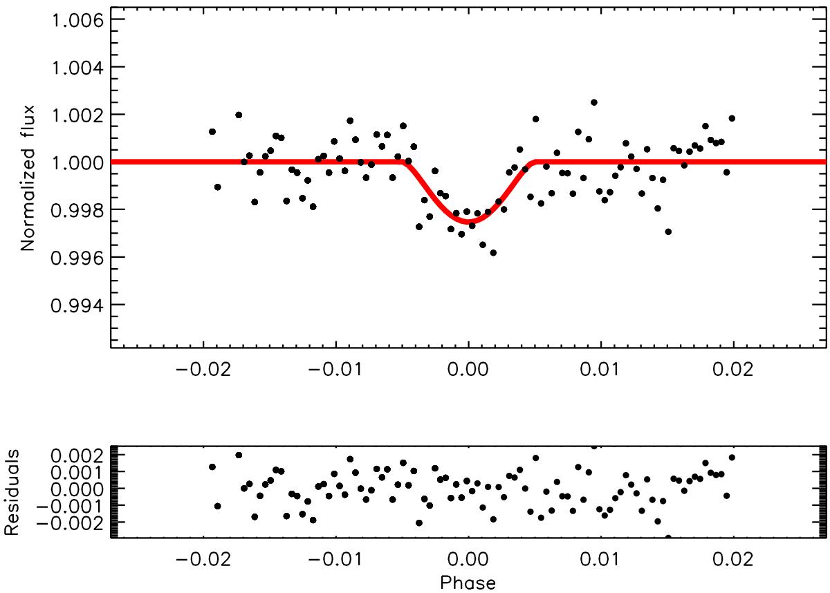
Fig. 4

Light-curve solution (solid red line) and phase-folded, binned data points (black circles) of CoRoT-33b transits. Lower panel shows the residuals of the fit. Note that transit depth is only 0.28% on an R = 14.25 mag star.
Current usage metrics show cumulative count of Article Views (full-text article views including HTML views, PDF and ePub downloads, according to the available data) and Abstracts Views on Vision4Press platform.
Data correspond to usage on the plateform after 2015. The current usage metrics is available 48-96 hours after online publication and is updated daily on week days.
Initial download of the metrics may take a while.