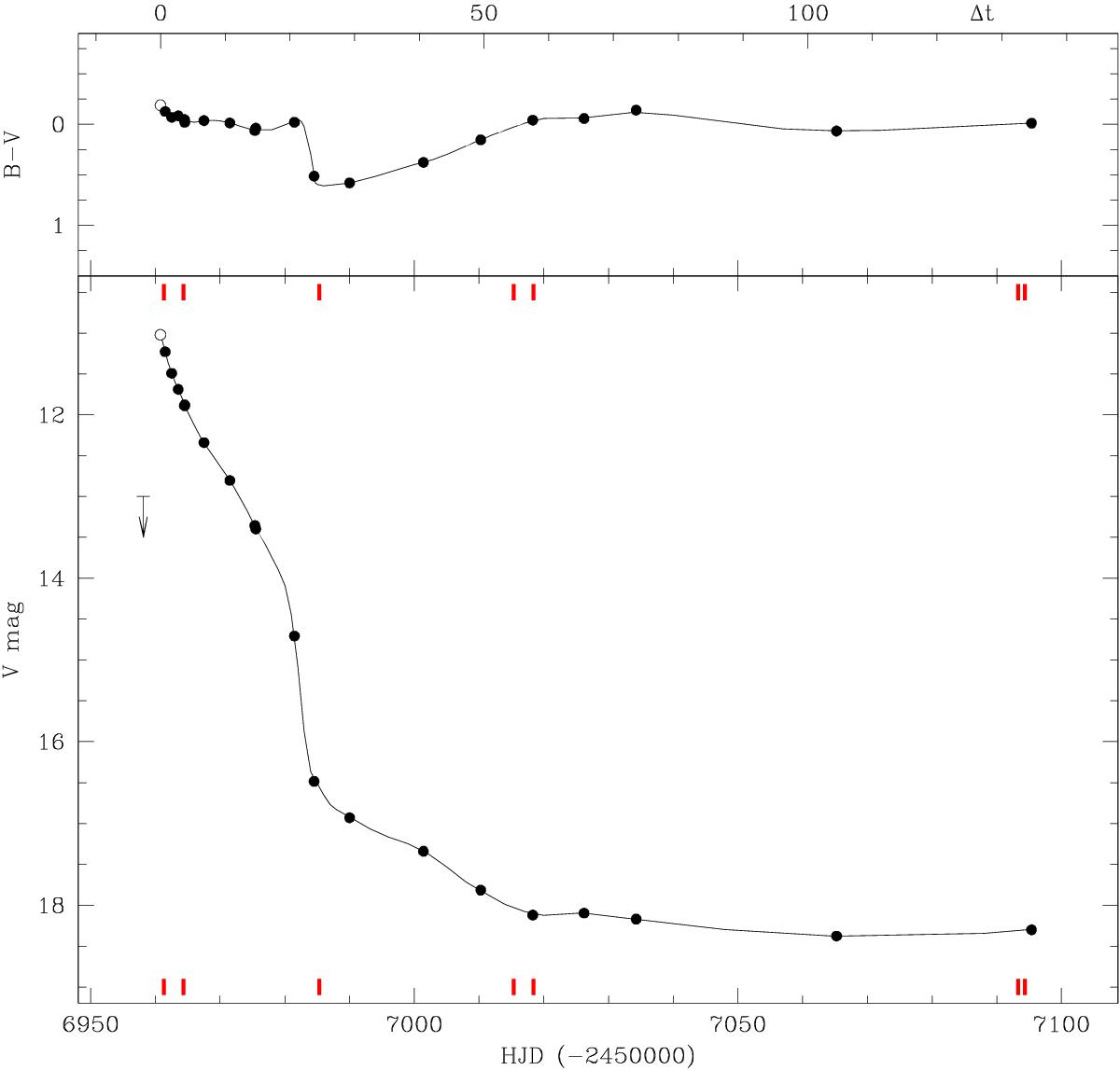
Fig. 1

Photometric evolution of PNV J03093063+2638031 during the 2014 superoutburst, from our observations in Table 1. The thick markers point to the epochs of the spectra listed in Table 2. Time on the upper abscissae is counted from the epoch of maximum brightness on 2014 Oct. 30.28 UT (JD = 2 456 960.78). For the open circles and the arrow, see text (Sect. 5).
Current usage metrics show cumulative count of Article Views (full-text article views including HTML views, PDF and ePub downloads, according to the available data) and Abstracts Views on Vision4Press platform.
Data correspond to usage on the plateform after 2015. The current usage metrics is available 48-96 hours after online publication and is updated daily on week days.
Initial download of the metrics may take a while.