Free Access
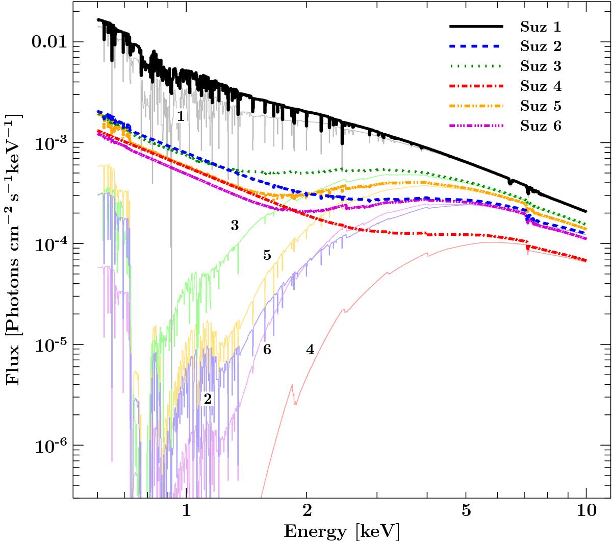
Fig. 7

Effect of the partial coverer WA2 onto a power law (thick lines with line styles given in the figure) as part of the best-fit model (Fig. 8). The thin and solid lines of lighter color show the effect the coverer would have if it were to fully cover the source.
Current usage metrics show cumulative count of Article Views (full-text article views including HTML views, PDF and ePub downloads, according to the available data) and Abstracts Views on Vision4Press platform.
Data correspond to usage on the plateform after 2015. The current usage metrics is available 48-96 hours after online publication and is updated daily on week days.
Initial download of the metrics may take a while.