Free Access

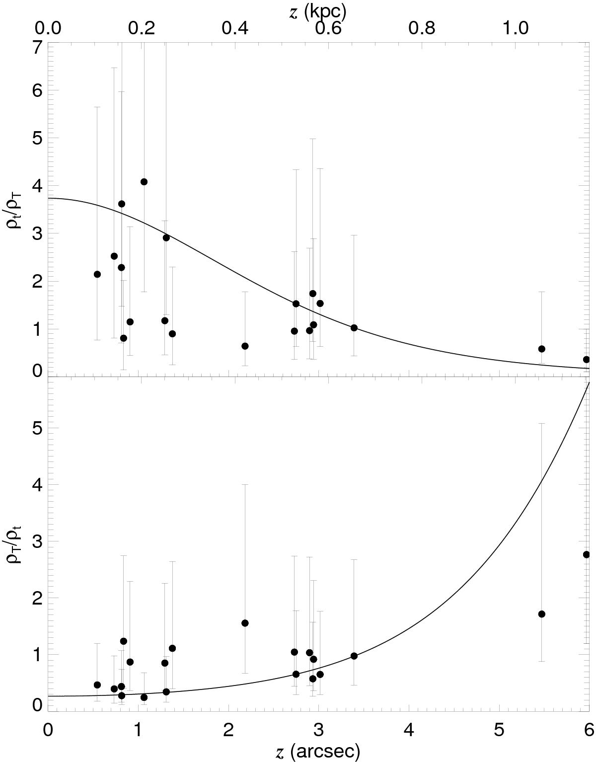
Fig. 13

image

Ratio between the masses of the thin and thick disc stellar populations (top panel) and its inverse (bottom panel), as a function of the height | z | of the Fig. 5 tile. The lines indicate the same ratios according to the fit to the light profiles (Fig. 3).

Current usage metrics show cumulative count of Article Views (full-text article views including HTML views, PDF and ePub downloads, according to the available data) and Abstracts Views on Vision4Press platform.

Data correspond to usage on the plateform after 2015. The current usage metrics is available 48-96 hours after online publication and is updated daily on week days.

Initial download of the metrics may take a while.