Free Access
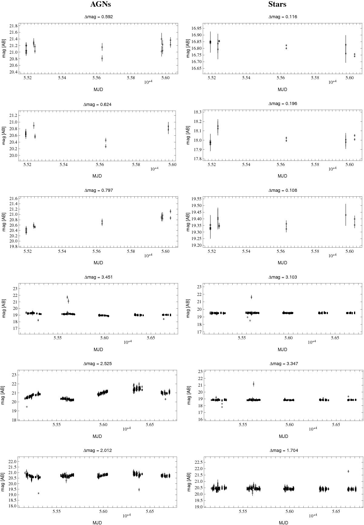
Fig. 1

Raw light curves (gP1 band) of six AGNs (left column) and six stars (right column). The top three panels show data from the 3π survey, the bottom three panels from the MDF04 survey, respectively. The value Δmag = max(mag)−min(mag) quotes the maximum amount of variability in each light curve.
This figure is made of several images, please see below:
Current usage metrics show cumulative count of Article Views (full-text article views including HTML views, PDF and ePub downloads, according to the available data) and Abstracts Views on Vision4Press platform.
Data correspond to usage on the plateform after 2015. The current usage metrics is available 48-96 hours after online publication and is updated daily on week days.
Initial download of the metrics may take a while.