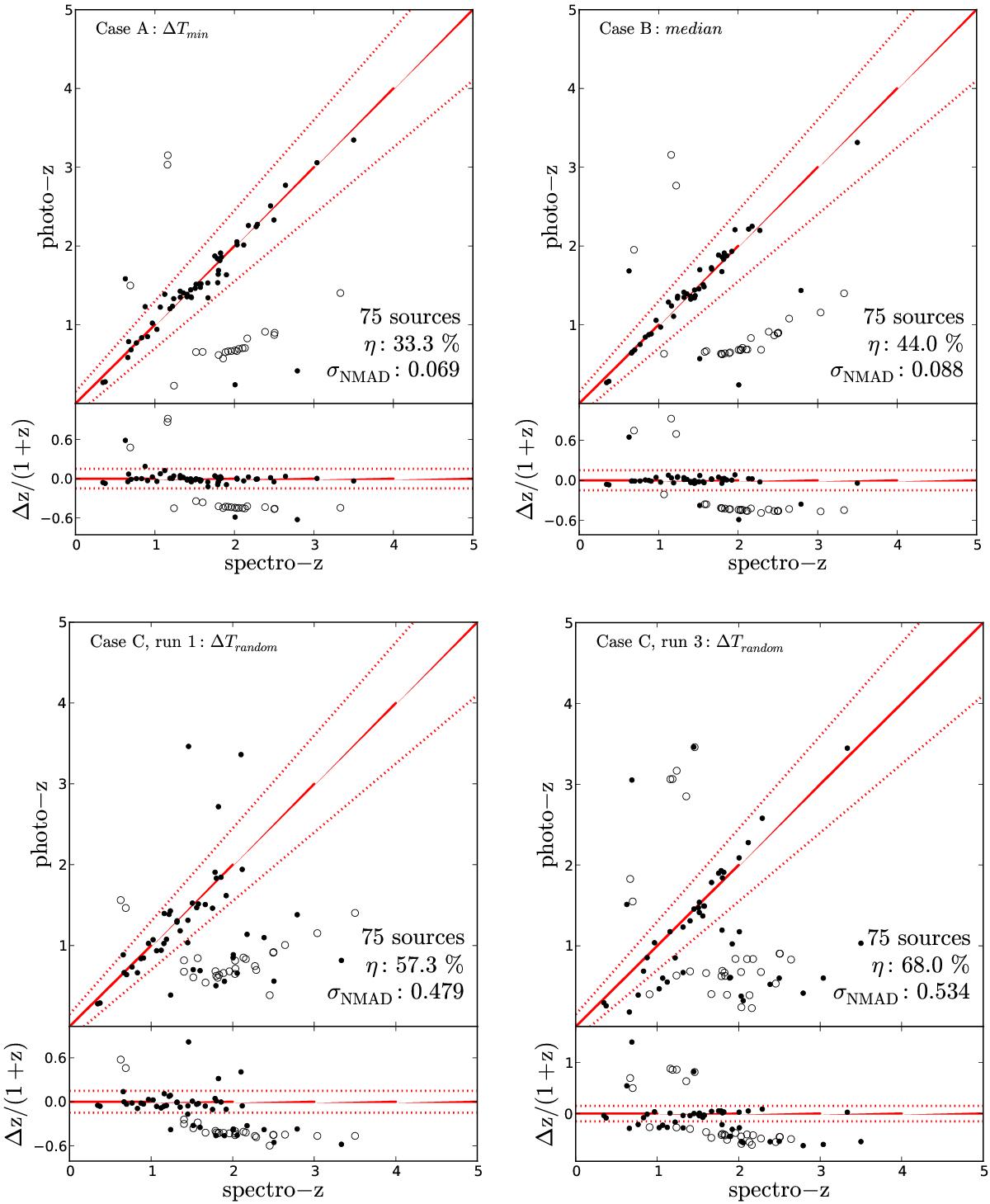
Fig. 6

Comparison of photometric and spectroscopic redshifts for the 75 AGNs of the MDF04 sample. Empty circles represent sources for which the second peak of the redshift probability distribution agrees with the correct redshift. The solid line represents the one-to-one relation, and the dotted lines correspond to zphot = zspec ± 0.15(1 + zspec).
Current usage metrics show cumulative count of Article Views (full-text article views including HTML views, PDF and ePub downloads, according to the available data) and Abstracts Views on Vision4Press platform.
Data correspond to usage on the plateform after 2015. The current usage metrics is available 48-96 hours after online publication and is updated daily on week days.
Initial download of the metrics may take a while.