Free Access
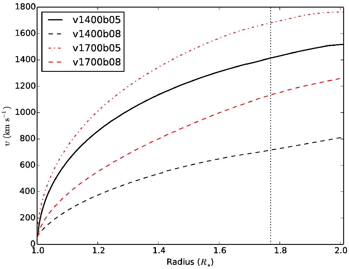
Fig. 6

Wind velocity field close to the surface (R∗ = 1) of the supergiant. The curve labelled as v1400b05 provides excellent agreement with the observations. The other velocity fields do not provide results consistent with the observations. The vertical dotted line indicates the orbital radius.
Current usage metrics show cumulative count of Article Views (full-text article views including HTML views, PDF and ePub downloads, according to the available data) and Abstracts Views on Vision4Press platform.
Data correspond to usage on the plateform after 2015. The current usage metrics is available 48-96 hours after online publication and is updated daily on week days.
Initial download of the metrics may take a while.