Free Access
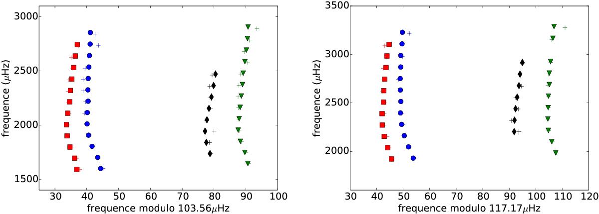
Fig. 3

Echelle diagrams for 16 Cygni A (left panel) and 16 Cygni B (right panel). The observed frequencies are represented by crosses. The frequencies computed for the models with Y = 0.26 and Z = 0.024 are represented by blue dots (l = 0), green triangles (l = 1), red squares (l = 2), and black diamonds (l = 3).
This figure is made of several images, please see below:
Current usage metrics show cumulative count of Article Views (full-text article views including HTML views, PDF and ePub downloads, according to the available data) and Abstracts Views on Vision4Press platform.
Data correspond to usage on the plateform after 2015. The current usage metrics is available 48-96 hours after online publication and is updated daily on week days.
Initial download of the metrics may take a while.