Free Access
Fig. 9

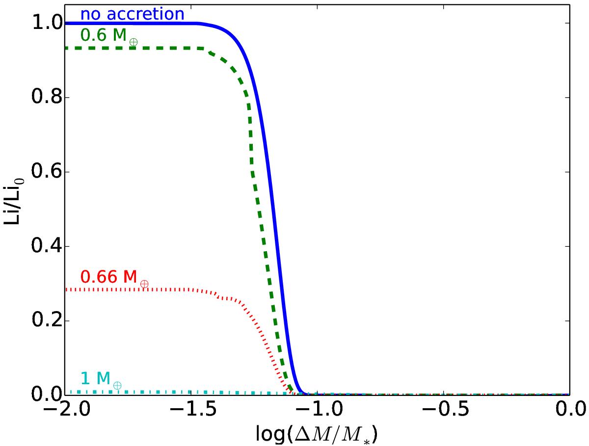
Lithium abundance profiles after the accretion of different masses in the model of 16 Cygni B: no accretion (blue solid line), 0.6M⊕ (green dashed line), 0.66M⊕ (red dotted line), and 1M⊕ (cyan dotted-dashed line) at the beginning of the MS.
Current usage metrics show cumulative count of Article Views (full-text article views including HTML views, PDF and ePub downloads, according to the available data) and Abstracts Views on Vision4Press platform.
Data correspond to usage on the plateform after 2015. The current usage metrics is available 48-96 hours after online publication and is updated daily on week days.
Initial download of the metrics may take a while.