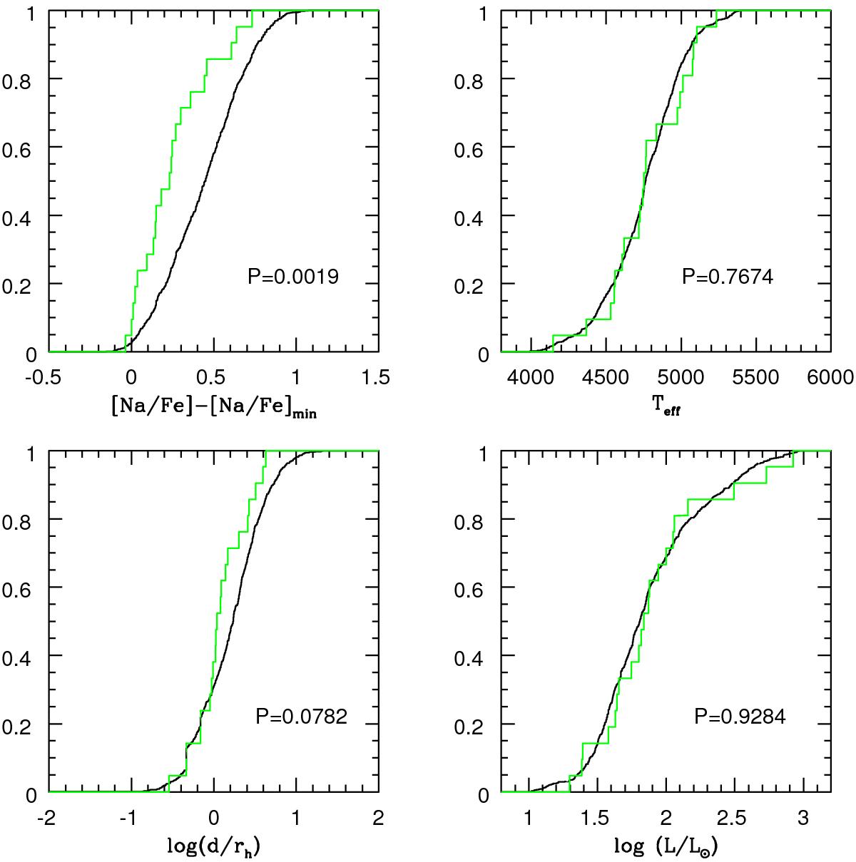
Fig. 2

Cumulative distribution of distance from the center (scaled with respect to half-light radii), luminosity, effective temperature and Na enhancement (see text for definition) for bona fide binary (green) and single (black) stars, 21 and 931 objects respectively. The p-value for two-sided Kolmogorov-Smirnov test is also reported.
Current usage metrics show cumulative count of Article Views (full-text article views including HTML views, PDF and ePub downloads, according to the available data) and Abstracts Views on Vision4Press platform.
Data correspond to usage on the plateform after 2015. The current usage metrics is available 48-96 hours after online publication and is updated daily on week days.
Initial download of the metrics may take a while.