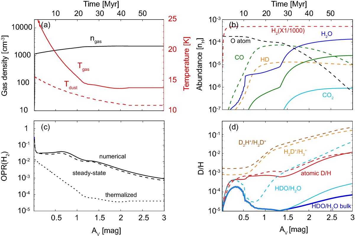
Fig. 15

Results from a weaker shock model plotted vs visual extinction to be compared with analogous figures for our fiducial model. a) Physical evolution after passing through the shock front (see Fig. 2). b) Fractional abundances of selected species with respect to hydrogen nuclei (see Fig. 4). c) The OPR(H2) (see Fig. 6). d) Deuteration ratios of selected species (see Fig. 7).
Current usage metrics show cumulative count of Article Views (full-text article views including HTML views, PDF and ePub downloads, according to the available data) and Abstracts Views on Vision4Press platform.
Data correspond to usage on the plateform after 2015. The current usage metrics is available 48-96 hours after online publication and is updated daily on week days.
Initial download of the metrics may take a while.