Free Access
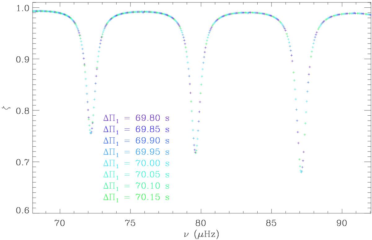
Fig. 3

Interpolation of the function ζ for the period spacing ΔΠ1 derived from the values obtained with various periods in the range ΔΠ1(1 ± νmaxΔΠ1/ 2), where νmax is the frequency of maximum oscillation signal.
Current usage metrics show cumulative count of Article Views (full-text article views including HTML views, PDF and ePub downloads, according to the available data) and Abstracts Views on Vision4Press platform.
Data correspond to usage on the plateform after 2015. The current usage metrics is available 48-96 hours after online publication and is updated daily on week days.
Initial download of the metrics may take a while.