Free Access
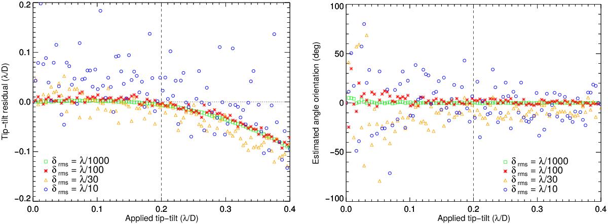
Fig. 10

Simulation results of tip-tilt estimation using QACITS with a centrally obstructed pupil in presence of higher order aberrations. Amplitude residuals are shown on the left, while orientation angle residuals are shown on the right, for different levels of aberrations.
Current usage metrics show cumulative count of Article Views (full-text article views including HTML views, PDF and ePub downloads, according to the available data) and Abstracts Views on Vision4Press platform.
Data correspond to usage on the plateform after 2015. The current usage metrics is available 48-96 hours after online publication and is updated daily on week days.
Initial download of the metrics may take a while.