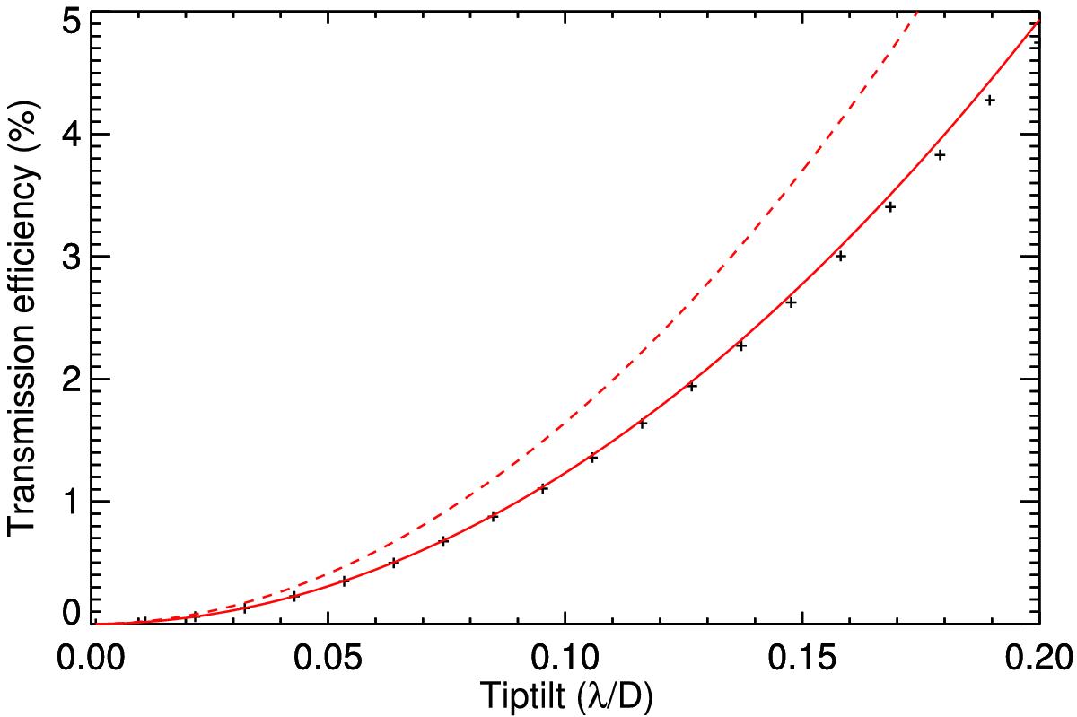
Fig. B.1

Transmission efficiency as a function of the angular distance from the center. The crosses result from simulations, while the dashed line shows the theoretical function as stated by Jenkins (2008) and the solid line shows the model derived in this work. The two are in agreement for the square dependency, but differ in the multiplicative factor, equaling π2/ 6 and π2/ 8, respectively.
Current usage metrics show cumulative count of Article Views (full-text article views including HTML views, PDF and ePub downloads, according to the available data) and Abstracts Views on Vision4Press platform.
Data correspond to usage on the plateform after 2015. The current usage metrics is available 48-96 hours after online publication and is updated daily on week days.
Initial download of the metrics may take a while.