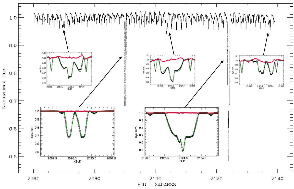
Fig. 1

Extracted K2 light curve of HD 144548, showing periodic eclipses of a hierarchical triple eclipsing system and clear modulation, which we attribute to the effect of rotation and spots. The insets show primary and secondary eclipses of A vs. Ba and Bb components, with the best-fit model (green dotted lines) and residuals of the fit (red crosses, shifted vertically to the off-eclipse flux).
Current usage metrics show cumulative count of Article Views (full-text article views including HTML views, PDF and ePub downloads, according to the available data) and Abstracts Views on Vision4Press platform.
Data correspond to usage on the plateform after 2015. The current usage metrics is available 48-96 hours after online publication and is updated daily on week days.
Initial download of the metrics may take a while.