Free Access
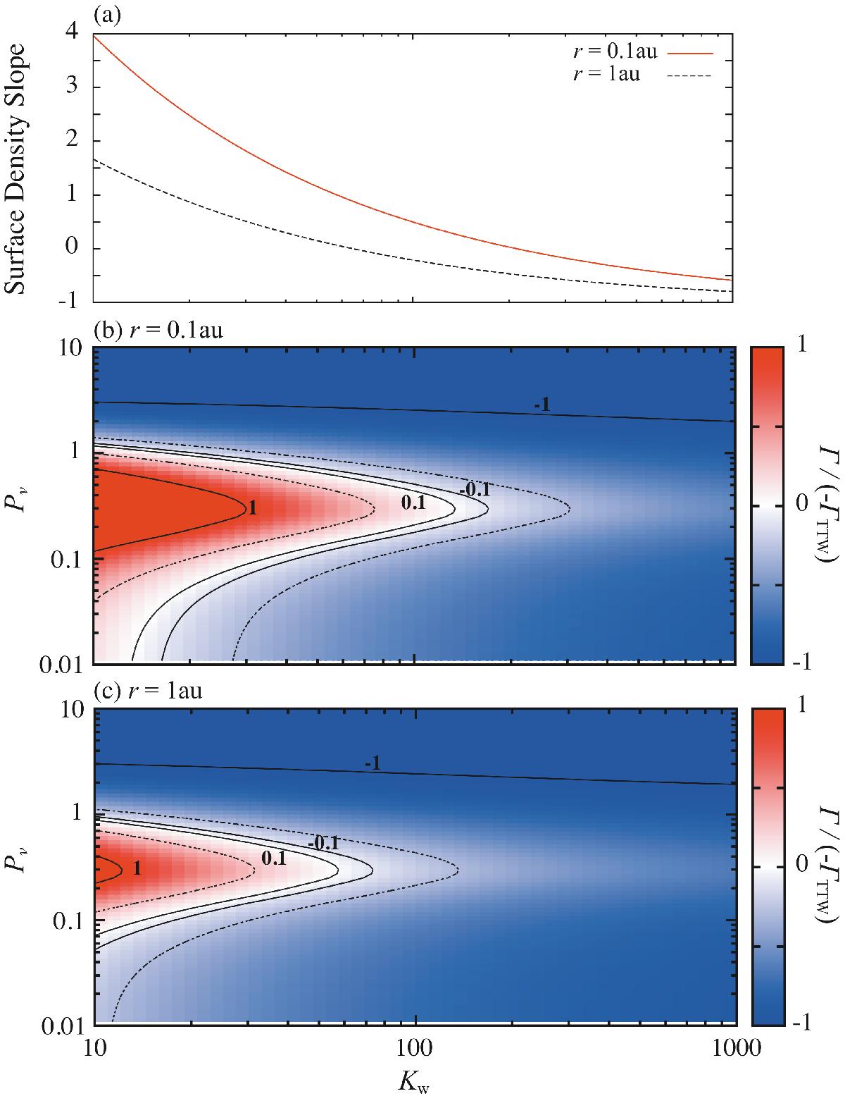
Fig. 2

Surface density slope in a steady state at r = 0.1 au and 1 au for various values of Kw (panel a)). Migration efficiency (Γ/(−ΓTTW)) for planets with e = 0.01 at r = 0.1 au (panel b)) and r = 1 au (panel c)). The contours show a migration efficiency of −1, −0.3, −0.1, 0.1, 0.3, and 1. When Γ > 0, planets move outward.
Current usage metrics show cumulative count of Article Views (full-text article views including HTML views, PDF and ePub downloads, according to the available data) and Abstracts Views on Vision4Press platform.
Data correspond to usage on the plateform after 2015. The current usage metrics is available 48-96 hours after online publication and is updated daily on week days.
Initial download of the metrics may take a while.