Free Access

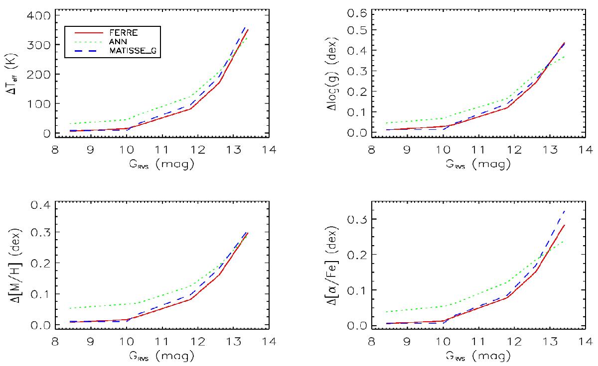
Fig. 9

image

Variation of the code performances (quantified by the 68% quantile) as a function of the magnitude, for the subsample of random cool stars defined by 4000 <Teff< and 8000 K and [M/H] 1.0 dex (2951 spectra in total).

Current usage metrics show cumulative count of Article Views (full-text article views including HTML views, PDF and ePub downloads, according to the available data) and Abstracts Views on Vision4Press platform.

Data correspond to usage on the plateform after 2015. The current usage metrics is available 48-96 hours after online publication and is updated daily on week days.

Initial download of the metrics may take a while.