Free Access

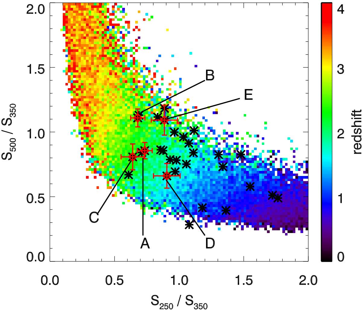
Fig. 7

image

Colour-colour diagram of Herschel/SPIRE sources in the region of PHz G95.561.6. The coloured background indicates the average redshift in this colour-colour space for 106 randomly generated synthetic SEDs (Amblard et al. 2011), modelled as modified blackbodies with dust spectral indices ranging from 1 to 2, and dust temperatures ranging from 10 K to 40 K. Sources detected above 2.5σ in all SPIRE bands are plotted as black stars. The five Herschel/SPIRE sources at 250 μm located around PHz G95.561.6, within the Planck beam, are indicated with red diamonds and labelled A, B, C, D, and E, as in Fig. 2.

Current usage metrics show cumulative count of Article Views (full-text article views including HTML views, PDF and ePub downloads, according to the available data) and Abstracts Views on Vision4Press platform.

Data correspond to usage on the plateform after 2015. The current usage metrics is available 48-96 hours after online publication and is updated daily on week days.

Initial download of the metrics may take a while.