Free Access

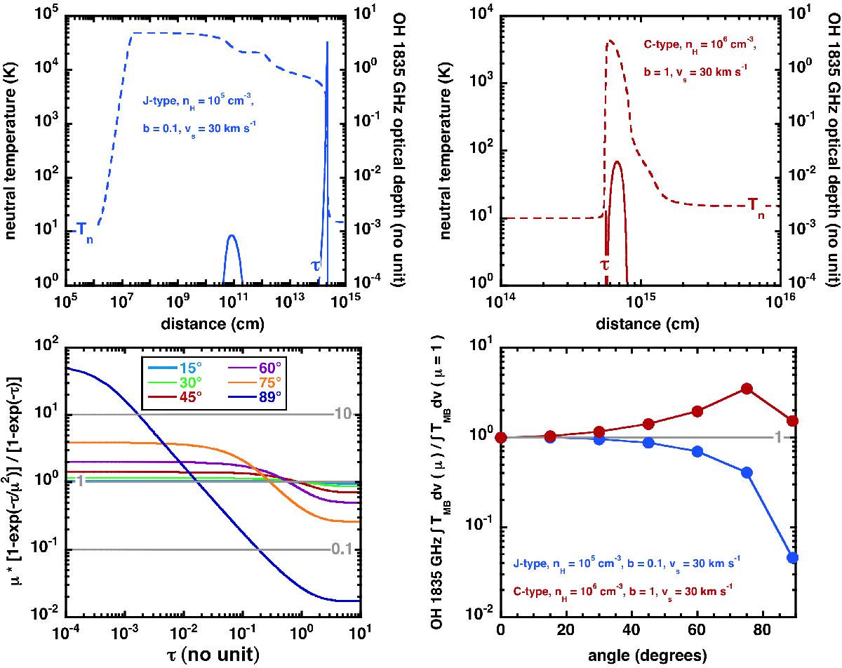
Fig. B.1

image

Upper panels: evolution of the neutral temperature and optical depth of the OH line at 1835 GHz along the shock layer (versus a distance parameter along the direction of propagation of the shock) for a J-type model with nH = 105 cm-3, b = 0.1, and νs = 30 km s-1 (left) and a C-type model with nH = 106 cm-3, b = 1, and νs = 30 km s-1 (right). Lower left panel: variation in the factor μ·(1−eτ/μ2)/(1−eτ) with the optical depth for six inclination angles. Lower right panel: variation in the ratio [T (μ)]/[T (μ = 1)] with the inclination angle for the two shock models considered.

Current usage metrics show cumulative count of Article Views (full-text article views including HTML views, PDF and ePub downloads, according to the available data) and Abstracts Views on Vision4Press platform.

Data correspond to usage on the plateform after 2015. The current usage metrics is available 48-96 hours after online publication and is updated daily on week days.

Initial download of the metrics may take a while.