Free Access

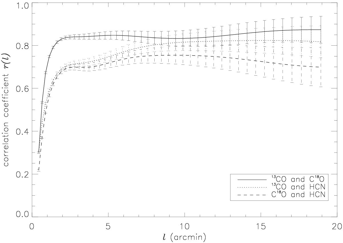
Fig. 36

image

Dependence of the CC coefficient on spatial scale for three pairs of emission maps, 13CO and C18O, 13CO and HCN, and C18O and HCN (full, dotted and dashed lines, respectively).

Current usage metrics show cumulative count of Article Views (full-text article views including HTML views, PDF and ePub downloads, according to the available data) and Abstracts Views on Vision4Press platform.

Data correspond to usage on the plateform after 2015. The current usage metrics is available 48-96 hours after online publication and is updated daily on week days.

Initial download of the metrics may take a while.