Free Access

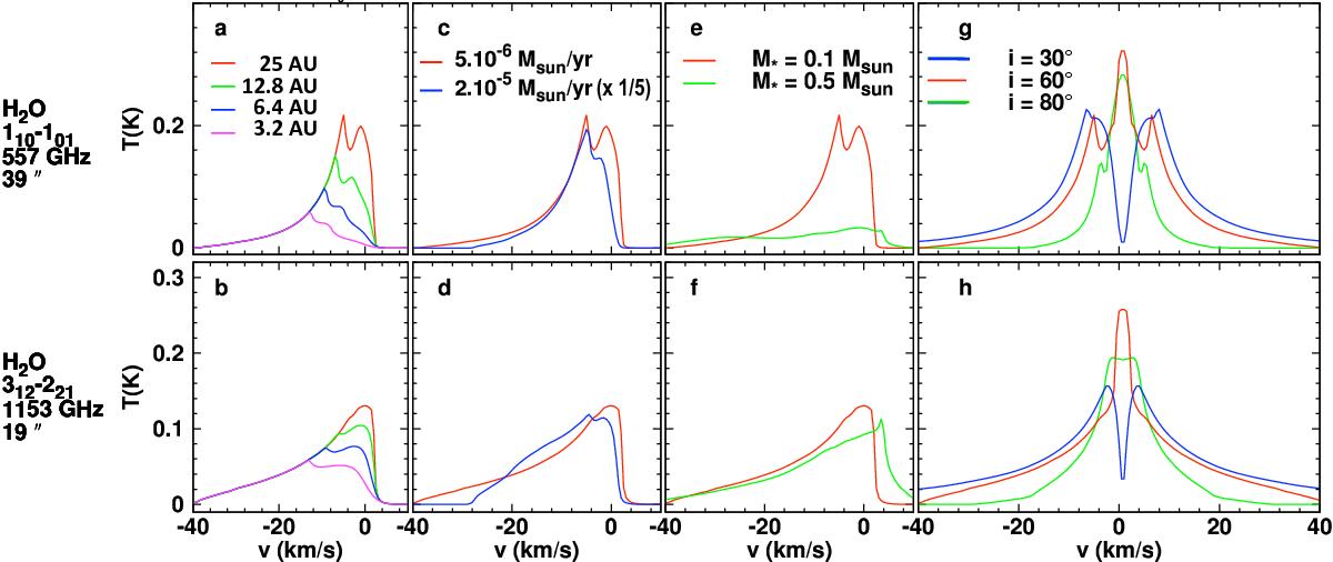
Fig. 3

image

Influence of our four free parameters on synthetic Herschel/HIFI profiles in the ortho-H2O fundamental line 110101 at 557 GHz (top row) and the 312221 line at 1153 GHz (bottom row). The reference profile (S0 model with = 25 AU and i = 60°) is plotted in red, and other colors show the effect of changing one of the parameters. From left to right: (panels a)b)), accretion rate (panels c), d)), M (panels e), f)), inclination angle i to the line of sight (panels g), h)). Only the blueshifted lobe is shown, except in panels g), h) where red and blue lobes have been summed. The distance to the source is set to 235 pc.

Current usage metrics show cumulative count of Article Views (full-text article views including HTML views, PDF and ePub downloads, according to the available data) and Abstracts Views on Vision4Press platform.

Data correspond to usage on the plateform after 2015. The current usage metrics is available 48-96 hours after online publication and is updated daily on week days.

Initial download of the metrics may take a while.