Free Access

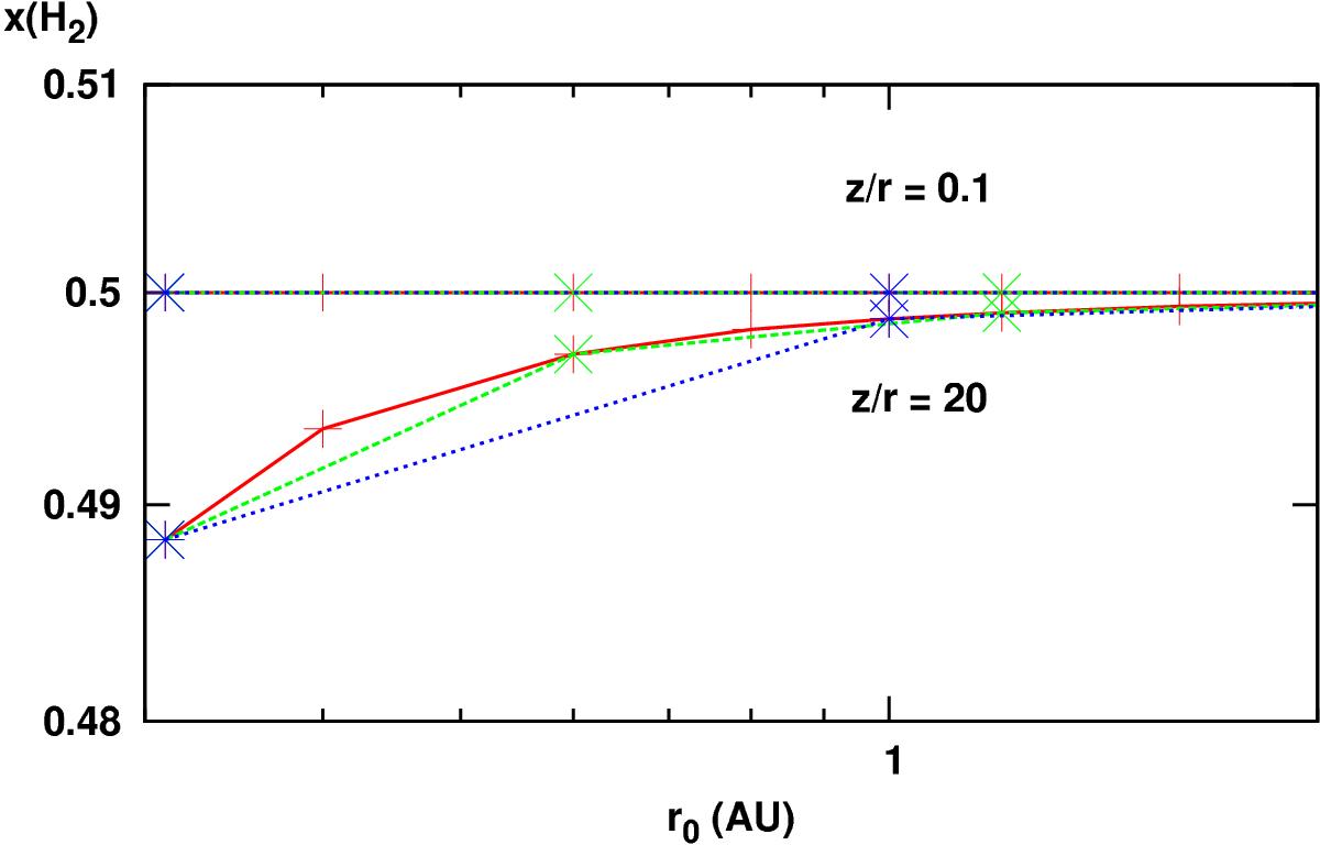
Fig. A.1

image

Effect of a finer sampling in streamline radii r0 on the calculated fractional H2 abundance xH2 = n(H2)/nH at the recollimation point (z/r = 20) of each streamline for our reference S0 model. We note the convergence to a limiting curve as the sampling is increased and the calculation of the self-shielding H2 column becomes more accurate.

Current usage metrics show cumulative count of Article Views (full-text article views including HTML views, PDF and ePub downloads, according to the available data) and Abstracts Views on Vision4Press platform.

Data correspond to usage on the plateform after 2015. The current usage metrics is available 48-96 hours after online publication and is updated daily on week days.

Initial download of the metrics may take a while.