Free Access

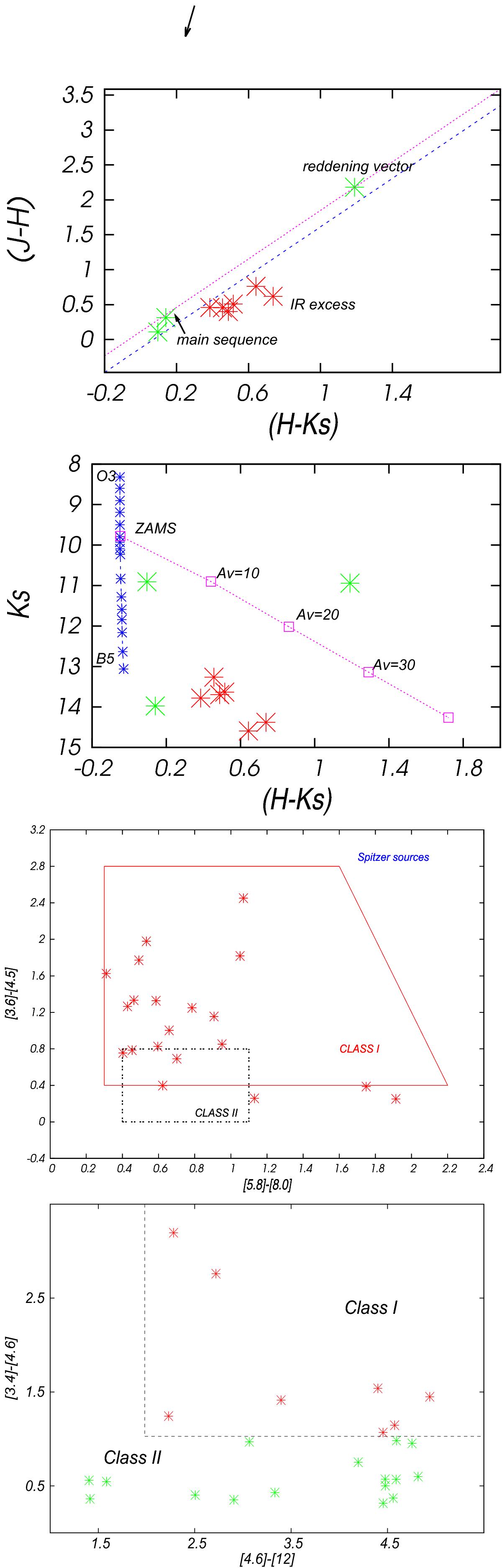
Fig. 3

image

Upper panels: [HKs, JH] and [HKs, KS] diagrams of the 2MASS YSO candidates indicated by red crosses. Green asterisks correspond to main sequence stars projected onto the S 24 bubble (see Sect. 7.2). The dashed lines show the reddening vectors corresponding to M0 III and B2 V stars in the CC-diagram, and to B2 V stars in the CM-diagram. The squares are placed at intervals of ten magnitudes of visual extinction. Middle panel: location of YSO candidates from the Spitzer database. Crosses represent Class I and II sources. Bottom panel: YSO candidates from the WISE database. Class I and II sources are indicated in red and green, respectively.

Current usage metrics show cumulative count of Article Views (full-text article views including HTML views, PDF and ePub downloads, according to the available data) and Abstracts Views on Vision4Press platform.

Data correspond to usage on the plateform after 2015. The current usage metrics is available 48-96 hours after online publication and is updated daily on week days.

Initial download of the metrics may take a while.