Free Access

Fig. 2

image

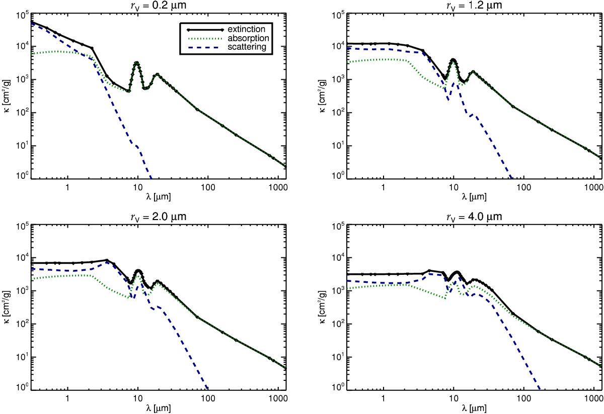
Cross sections per unit mass of the aggregate particles computed using DDA. We plot the cross sections for extinction, absorption, and scattering. The upper left panel shows an effective size of rV = 0.2 μm (single grains), the upper right panel rV = 1.2 μm, the lower left panel rV = 2.0 μm, and the lower right panel rV = 4.0 μm.

This figure is made of several images, please see below:

Current usage metrics show cumulative count of Article Views (full-text article views including HTML views, PDF and ePub downloads, according to the available data) and Abstracts Views on Vision4Press platform.

Data correspond to usage on the plateform after 2015. The current usage metrics is available 48-96 hours after online publication and is updated daily on week days.

Initial download of the metrics may take a while.