Free Access

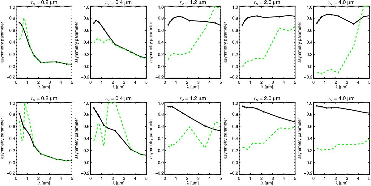
Fig. 5

image

Wavelength-dependent asymmetry parameter of the aggregate particles (upper panels) and the DHS distribution with porosity (lower panels) for different particle sizes. We show the formal asymmetry parameter of the entire phase function with solid black lines and the effective asymmetry parameter with dashed green lines. This was obtained by fitting a Henyey-Greenstein phase function to the central 80° of the phase function, i.e., from 50–130° scattering angle, representative of a disk with inclination of 40°.

Current usage metrics show cumulative count of Article Views (full-text article views including HTML views, PDF and ePub downloads, according to the available data) and Abstracts Views on Vision4Press platform.

Data correspond to usage on the plateform after 2015. The current usage metrics is available 48-96 hours after online publication and is updated daily on week days.

Initial download of the metrics may take a while.