Free Access

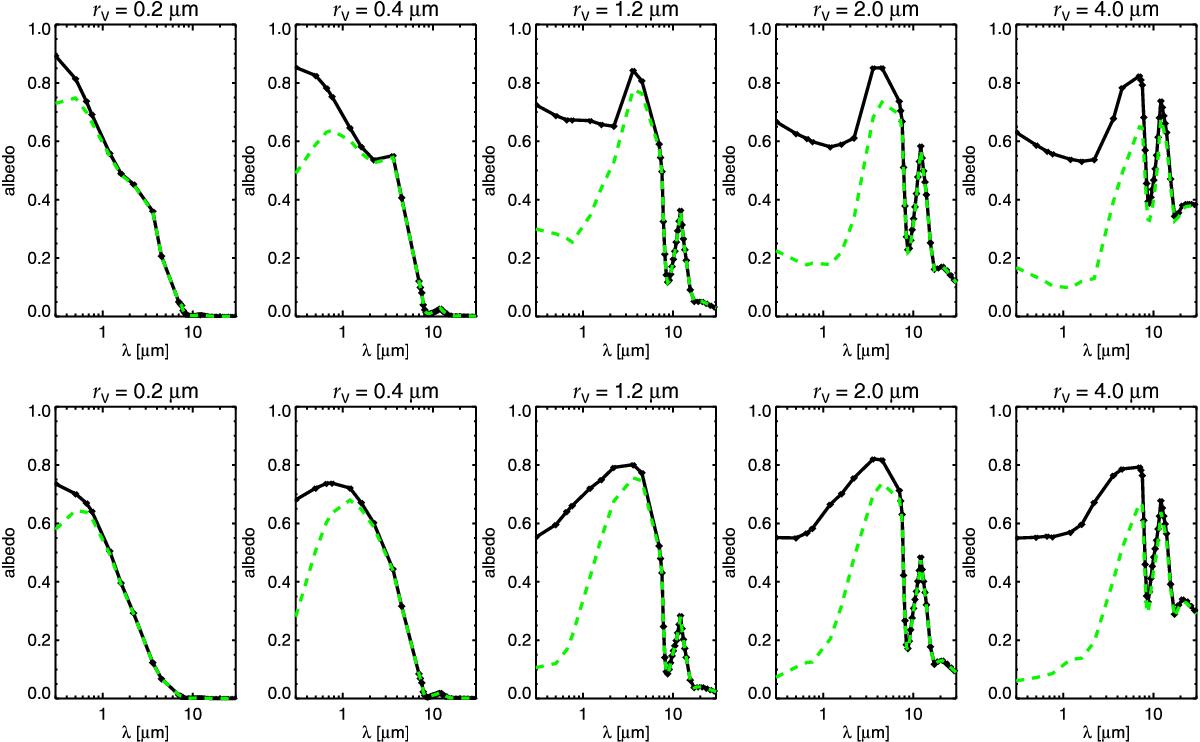
Fig. 6

image

Wavelength-dependent (effective) albedo of the aggregate particles (upper panels) and the DHS distribution with porosity (lower panels) for different particle sizes. We show the total albedo with solid black lines and the effective albedo with dashed green lines, i.e., removing the first 10° of scattering. The other approximate methods display a similar behavior, but with differently detailed shapes of the curves.

Current usage metrics show cumulative count of Article Views (full-text article views including HTML views, PDF and ePub downloads, according to the available data) and Abstracts Views on Vision4Press platform.

Data correspond to usage on the plateform after 2015. The current usage metrics is available 48-96 hours after online publication and is updated daily on week days.

Initial download of the metrics may take a while.