Free Access

Fig. B.2

image

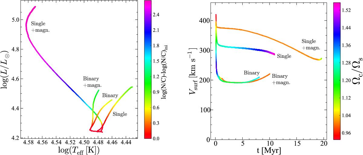
Left panel: evolutionary tracks in the HR diagram for 15 M at Z = 0.014, beginning their evolution on the ZAMS with initial rotation around 420 km s-1. The track labelled Single is for an isolate star computed as in Paper I (transport of angular momentum by shear and meridional currents), the track labelled with Binary is for a binary with an initial orbital period of 1.4 days computed with the same transport mechanisms as in Paper I. The models labelled Single+magn. and Binary+magn. are for single and binary stars, respectively, with similar characteristics, but computed with the Tayler-Spruit dynamo. The colour scales as the abundance ratio N/C at the surface normalised to the initial value on the ZAMS. Right panel: evolution of the surface equatorial velocity for the same models as in the left panel. The colour scales as the ratio Ωc/ Ωs.

This figure is made of several images, please see below:

Current usage metrics show cumulative count of Article Views (full-text article views including HTML views, PDF and ePub downloads, according to the available data) and Abstracts Views on Vision4Press platform.

Data correspond to usage on the plateform after 2015. The current usage metrics is available 48-96 hours after online publication and is updated daily on week days.

Initial download of the metrics may take a while.