Free Access

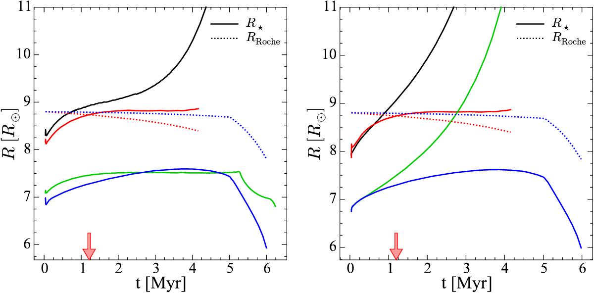
Fig. 4

image

Evolution of the stellar radius and Roche radius for the same models as in Fig. 3 (same colour code). The time at which the Roche radius is reached by the Z = 0.014 binary is marked with a red arrow.

This figure is made of several images, please see below:

Current usage metrics show cumulative count of Article Views (full-text article views including HTML views, PDF and ePub downloads, according to the available data) and Abstracts Views on Vision4Press platform.

Data correspond to usage on the plateform after 2015. The current usage metrics is available 48-96 hours after online publication and is updated daily on week days.

Initial download of the metrics may take a while.