Free Access

Fig. 3

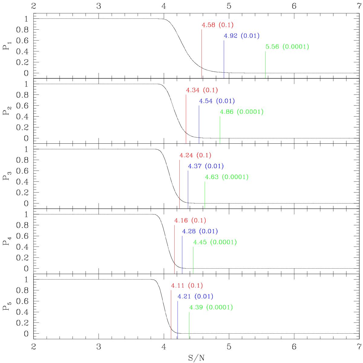
image

False alarm probability Pn of having at least n peaks caused by noise above a given S/N threshold in the LSP of KIC 08626021 (see text for details). In each panel, the three vertical lines indicate, from left to right, the S/N value corresponding to Pn = 0.1, 0.01, and 0.0001, respectively. The limit P1 = 0.0001, meaning that the risk of having a false detection above that threshold is reduced to less than 1 chance over 10 000, defines our adopted criterion. It corresponds to the limit of 5.6σ.

Current usage metrics show cumulative count of Article Views (full-text article views including HTML views, PDF and ePub downloads, according to the available data) and Abstracts Views on Vision4Press platform.

Data correspond to usage on the plateform after 2015. The current usage metrics is available 48-96 hours after online publication and is updated daily on week days.

Initial download of the metrics may take a while.