Free Access

Fig. 2

image

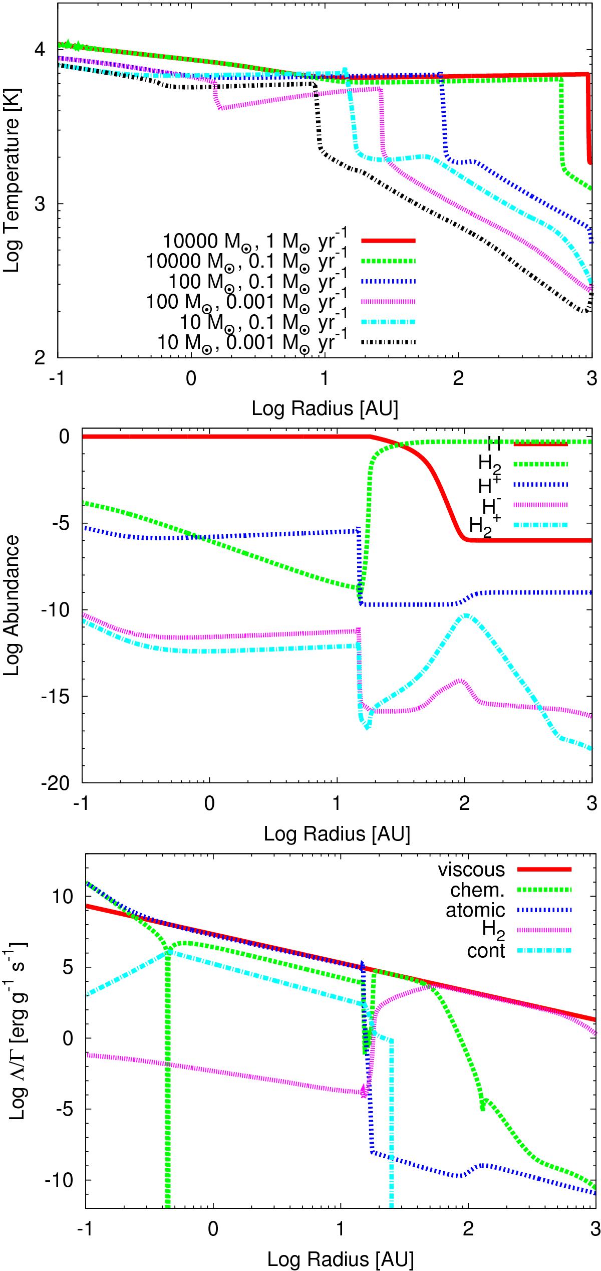
Results for the generic disk models with central source and an initially molecular gas (Table 2). The species abundances and heating/cooling rates are given for the S2A3 (generic disk model with central source of 100 M and accretion rate of 10-3 M yr-1). We refer to the caption of Fig. 1 for the description of the panels.

This figure is made of several images, please see below:

Current usage metrics show cumulative count of Article Views (full-text article views including HTML views, PDF and ePub downloads, according to the available data) and Abstracts Views on Vision4Press platform.

Data correspond to usage on the plateform after 2015. The current usage metrics is available 48-96 hours after online publication and is updated daily on week days.

Initial download of the metrics may take a while.