Free Access

Fig. 3

image

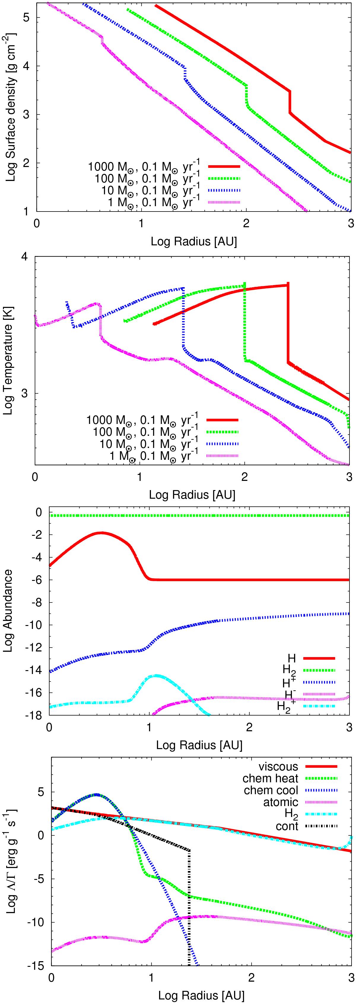
Results for the self-regulated disk models with an initially molecular gas (Table 4), plus species abundances and heating/cooling rates for the reference case S1 (self-regulated disk with central source of 1 M and an accretion rate of 10-1 M yr-1). The top panel shows gas surface density as a function of radius. We refer to the caption of Fig. 2 for the description of the other panels.

This figure is made of several images, please see below:

Current usage metrics show cumulative count of Article Views (full-text article views including HTML views, PDF and ePub downloads, according to the available data) and Abstracts Views on Vision4Press platform.

Data correspond to usage on the plateform after 2015. The current usage metrics is available 48-96 hours after online publication and is updated daily on week days.

Initial download of the metrics may take a while.