Open Access

Fig. 3

image

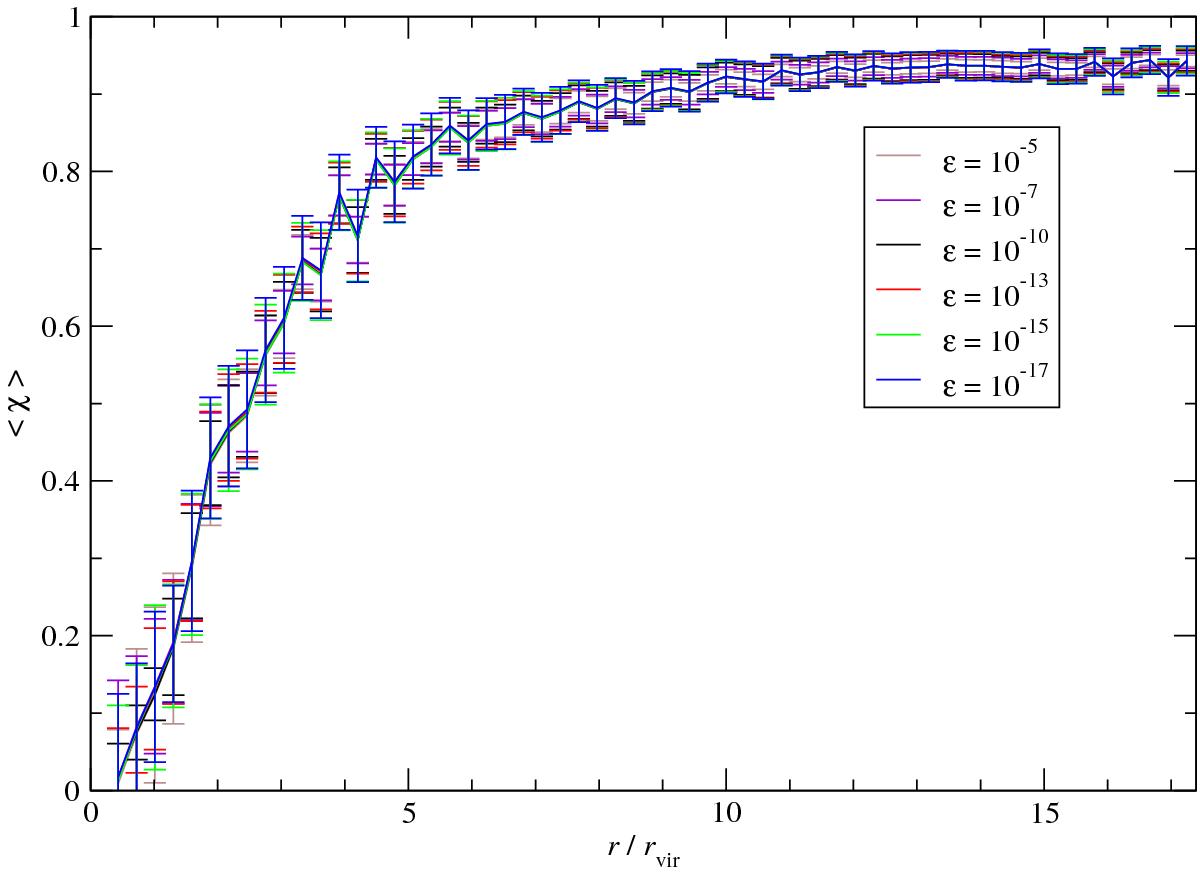
Sensitivity of the field profiles to differences in the initial conditions for the scalar field. The curves correspond to the average field profile around a massive halo. Different curves correspond to different amplitudes ϵ of the initial random field perturbations.

Current usage metrics show cumulative count of Article Views (full-text article views including HTML views, PDF and ePub downloads, according to the available data) and Abstracts Views on Vision4Press platform.

Data correspond to usage on the plateform after 2015. The current usage metrics is available 48-96 hours after online publication and is updated daily on week days.

Initial download of the metrics may take a while.