Free Access

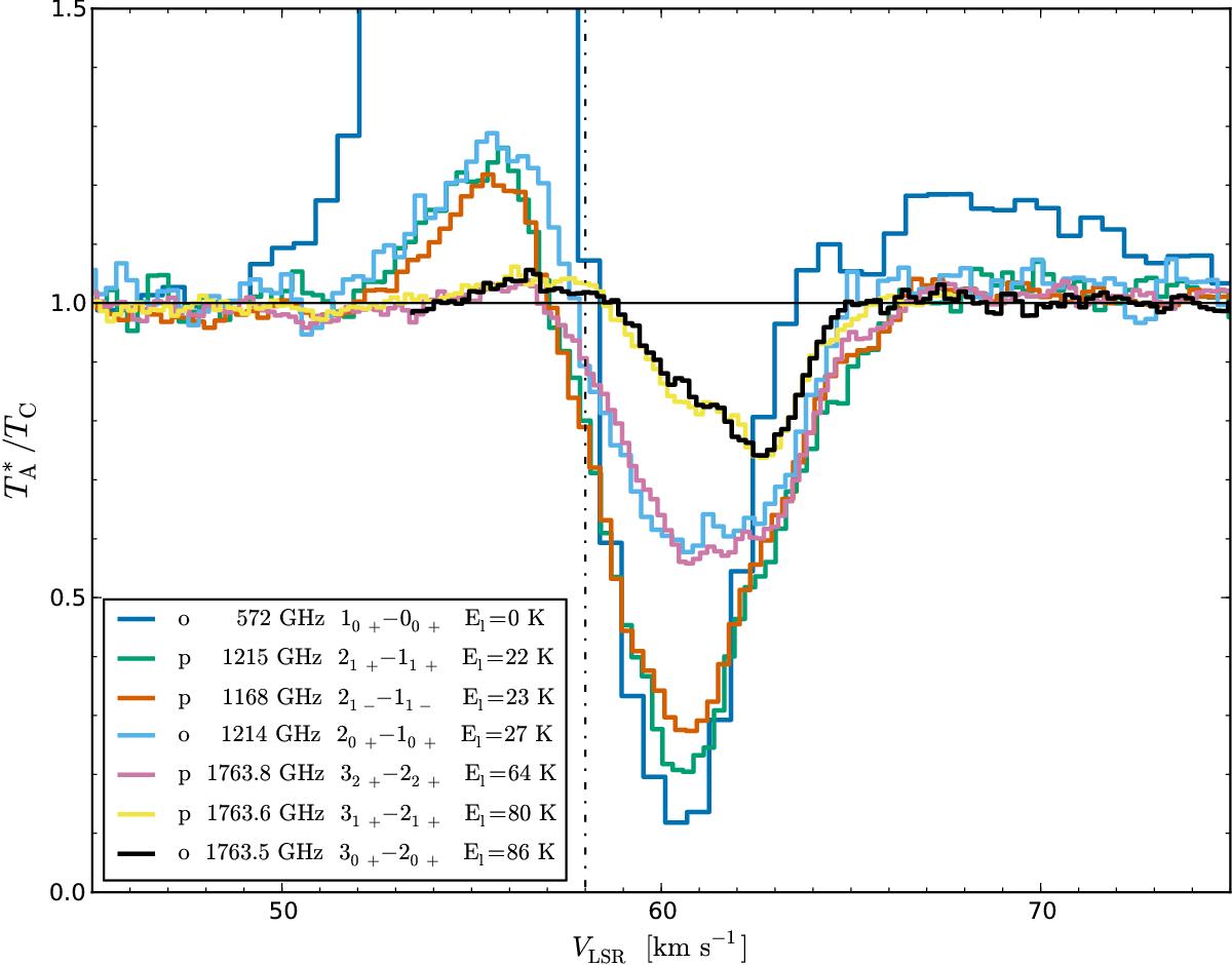
Fig. 5

image

Normalized spectra of all observed NH3 transitions used in the analysis of the absorption line profiles (same color code as in Fig. 3). The vertical black dotted line marks the systemic velocity of G34.

Current usage metrics show cumulative count of Article Views (full-text article views including HTML views, PDF and ePub downloads, according to the available data) and Abstracts Views on Vision4Press platform.

Data correspond to usage on the plateform after 2015. The current usage metrics is available 48-96 hours after online publication and is updated daily on week days.

Initial download of the metrics may take a while.