Free Access

Fig. 2

image

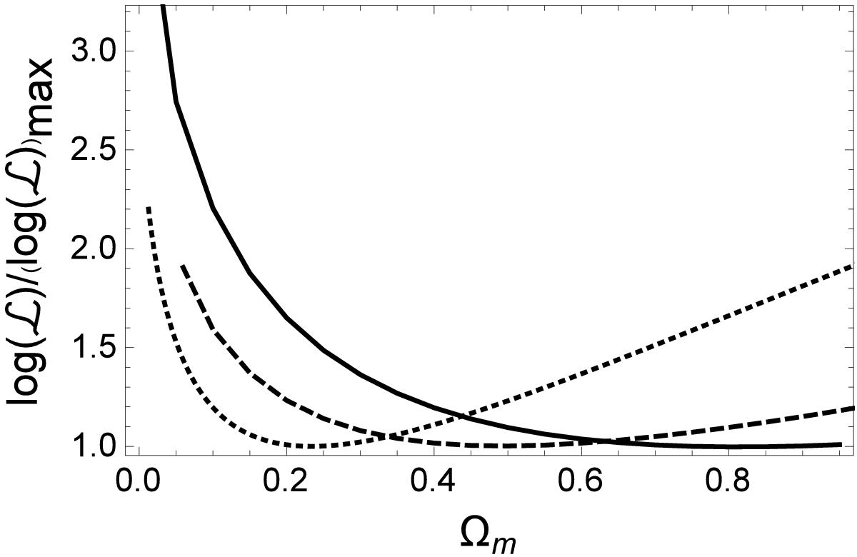
Evolution of log (ℒ)/log (ℒ)min as a function of Ωm in the flat ΛCDM Universe is shown with solid line from maximum likelihood method. The dashed line is the plot from reduced χ2 method. The dotted line is obtained with the 90 GRBs calibrated on the SNe Ia (see Sect. 4).

Current usage metrics show cumulative count of Article Views (full-text article views including HTML views, PDF and ePub downloads, according to the available data) and Abstracts Views on Vision4Press platform.

Data correspond to usage on the plateform after 2015. The current usage metrics is available 48-96 hours after online publication and is updated daily on week days.

Initial download of the metrics may take a while.