Free Access

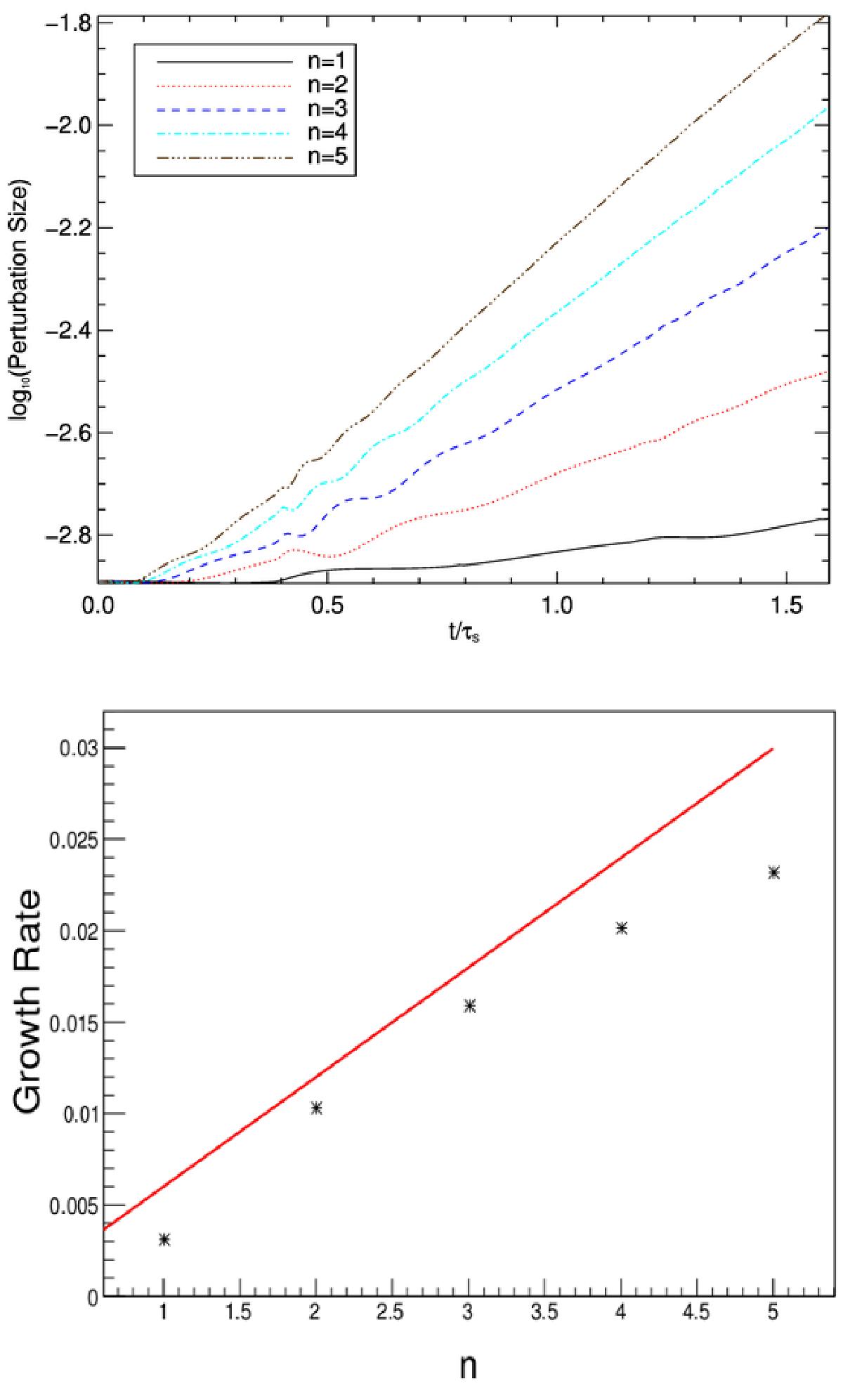
Fig. 7

image

Amplitude and growth rate of shear instability modes. Top: amplitude as a function of time, in units of the sound crossing time 0.5τs. Bottom: the growth rate measured after t = 0.6τs (determined by taking the slope of a linear fit of the logarithm of the perturbation amplitudes), are roughly proportional to the wave number n, and roughly agree with the predicted growth rate from Eq. (34).

Current usage metrics show cumulative count of Article Views (full-text article views including HTML views, PDF and ePub downloads, according to the available data) and Abstracts Views on Vision4Press platform.

Data correspond to usage on the plateform after 2015. The current usage metrics is available 48-96 hours after online publication and is updated daily on week days.

Initial download of the metrics may take a while.