Press Release
Free Access

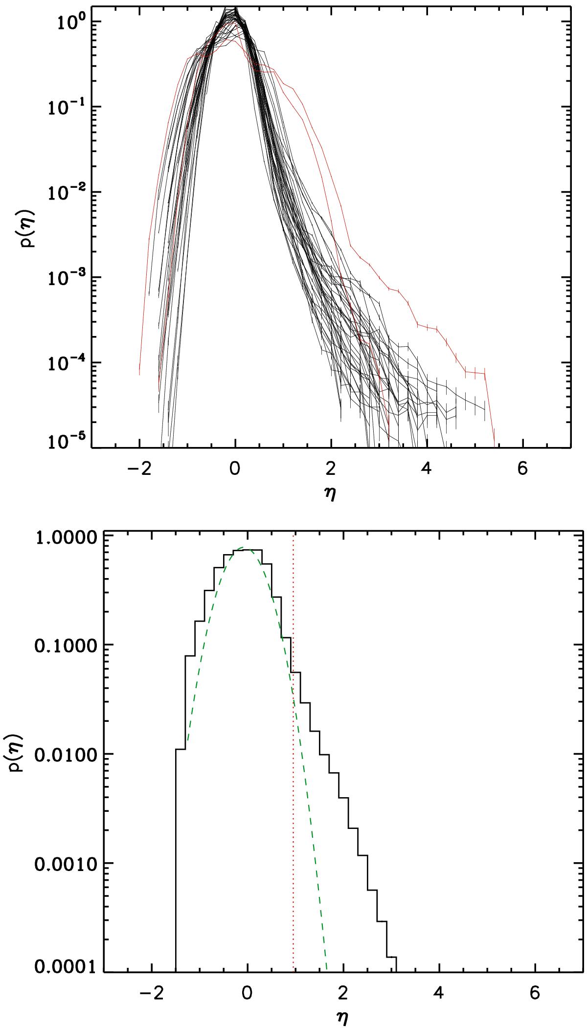
Fig. 9

image

Top: column density probability distribution function (N-PDF) for all 3 deg tiles overplotted. Only the | b | < 1° regions are considered due to the increasing noise towards the edges of the ATLASGAL fields. Red lines show the fields, which include the Galactic centre. Bottom: the N-PDF of the inner Galaxy (| | < 60°). Green dashed line shows a log-normal function with σ = 0.41 at a peak of NH2 = 1.10 × 1022 cm-2. Red dotted line shows where excess from the power-law tail sets in at NH2 = 2.92 × 1022 cm-2.

This figure is made of several images, please see below:

Current usage metrics show cumulative count of Article Views (full-text article views including HTML views, PDF and ePub downloads, according to the available data) and Abstracts Views on Vision4Press platform.

Data correspond to usage on the plateform after 2015. The current usage metrics is available 48-96 hours after online publication and is updated daily on week days.

Initial download of the metrics may take a while.