Free Access

Fig. 11

image

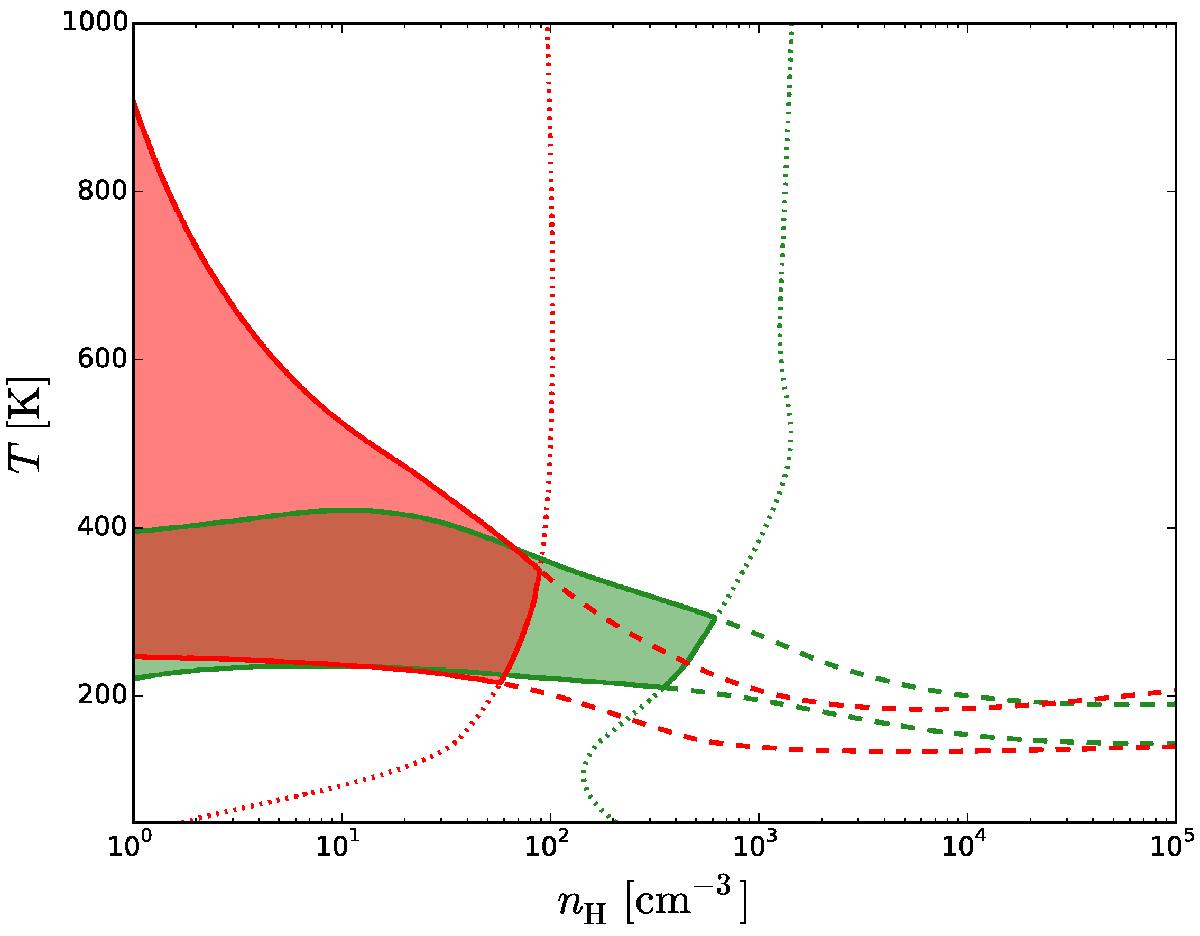
N(3, 3)/N(1, 1) (dashed lines) and N(3, 3)/N(2, 2) (dotted lines) ratios in a plane nH-T matching observations toward 2MASS J17470898-2829561, Δv between −150 and −60 km s-1 (Goto et al. 2011). Red corresponds to models obtained with Oka & Epp (2004) collision rates and green to models obtained with Gómez-Carrasco et al. (2012) collision rates.

Current usage metrics show cumulative count of Article Views (full-text article views including HTML views, PDF and ePub downloads, according to the available data) and Abstracts Views on Vision4Press platform.

Data correspond to usage on the plateform after 2015. The current usage metrics is available 48-96 hours after online publication and is updated daily on week days.

Initial download of the metrics may take a while.