Free Access

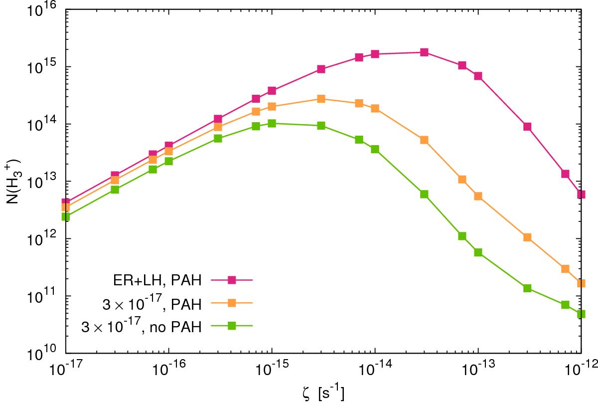
Fig. 7

image

as a function of ζ for the two H2 formation models ( cm3 s-1 and Langmuir-Hinshelwood plus Eley-Rideal mechanisms) and two grain distributions: MRN-like distribution and MRN-like + PAH distribution. For all models nH = 100 cm-3.

Current usage metrics show cumulative count of Article Views (full-text article views including HTML views, PDF and ePub downloads, according to the available data) and Abstracts Views on Vision4Press platform.

Data correspond to usage on the plateform after 2015. The current usage metrics is available 48-96 hours after online publication and is updated daily on week days.

Initial download of the metrics may take a while.